| 查看: 626 | 回复: 1 | |||
fengzhiying9新虫 (正式写手)
|
[求助]
求助聚合物命名 已有1人参与
|
|
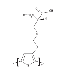
英文名是poly (3-[(S)-5-amino-5-carboxyl-3-oxapentyl]-2,5-thiophenylene hydrochloride),哪位大神来解答一下,谢谢啦! 1.png |
» 猜你喜欢
293求调剂
已经有12人回复
一志愿中南大学 0855 机械 286 求调剂
已经有7人回复
化学070300 求调剂
已经有11人回复
346分,工科0854求调剂,专硕
已经有6人回复
化工学硕294分,求导师收留
已经有3人回复
297工科,求调剂?
已经有7人回复
一志愿085802 323分求调剂
已经有11人回复
山东双非院校考核超级无底线,领导幸灾乐祸,教师遭殃恐
已经有7人回复
279学硕食品专业求调剂院校
已经有17人回复
一志愿安大生物学07初试322、本科二本、调剂求助
已经有9人回复
» 本主题相关价值贴推荐,对您同样有帮助:
聚合物的英文命名
已经有0人回复
请问基团的命名
已经有8人回复
交流:大家根据材料的命名,就能写出分子式吗?
已经有7人回复
高分子物理题目求助
已经有5人回复
高分子链近程结构
已经有3人回复
请问大家这种化合物基团怎么命名?
已经有7人回复
杂环化合物命名求助
已经有11人回复
有关聚合物荧光的解释
已经有35人回复
聚合物基无机纳米材料是属于无机非金属材料还是有机高分子材料啊
已经有15人回复
聚合物反应中残留的催化剂怎么去除
已经有4人回复
用什么软件绘制聚合物分子结构式?
已经有13人回复
这个怎么命名啊?有机化学没学好啊。呵呵……
已经有14人回复
求助高分子结构
已经有5人回复
高分子化学命名原则,化学名词审定委员会高分子化学专业组编
已经有60人回复
【求助】注塑均聚,24的PP其中24代表的是什么呢?
已经有11人回复
【求助】聚合物命名!
已经有5人回复
求助一种固化剂
已经有3人回复
bionics
专家顾问 (职业作家)
-

专家经验: +1523 - 应助: 1029 (博后)
- 贵宾: 0.497
- 金币: 27180.9
- 散金: 295
- 红花: 328
- 帖子: 3680
- 在线: 657.8小时
- 虫号: 531163
- 注册: 2008-03-23
- 专业: 有机高分子材料
- 管辖: 高分子

2楼2014-08-23 13:53:56













回复此楼
10