| ²é¿´: 1899 | »Ø¸´: 14 | ||
zhuimeng-k½ð³æ (ÖøÃûдÊÖ)
|
[½»Á÷]
Õâ¸öÔõôÃüÃû°¡£¿Óлú»¯Ñ§Ã»Ñ§ºÃ°¡¡£ºÇºÇ¡¡ ÒÑÓÐ7È˲ÎÓë
|
|
» ±¾Ö÷ÌâÏà¹Ø¼ÛÖµÌùÍÆ¼ö£¬¶ÔÄúͬÑùÓаïÖú:
ÇëÎÊһϣ¬ôßÄÏ´óѧÓлú»¯Ñ§ÔõôÑù°¡£¿
ÒѾÓÐ7È˻ظ´
¸ß·Ö×ÓÓëÓлú»¯Ñ§
ÒѾÓÐ14È˻ظ´
ÇóÂȱûີĻ¯Ñ§ÃüÃû£¡
ÒѾÓÐ4È˻ظ´
¹ØÓÚÇè³æµÄ¡°³æ¡±×ÖÊÇÔõô¸öʲô½á¹¹ºÍÃüÃûÓÖÀ´
ÒѾÓÐ4È˻ظ´
Õâ¸öÓлú·Ö×ÓÔõôÃüÃû£¿
ÒѾÓÐ4È˻ظ´
Ìá½»µÄ±êÊé¼ì²é±£»¤µÄÃÜÂëÍüµôÁË£¬Ôõô´ò¿ª£¿
ÒѾÓÐ8È˻ظ´
Óлú·½ÃæµÄÃüÃû£¬Ó¢ÎÄ´Ê׺
ÒѾÓÐ14È˻ظ´
·¢±íµÄÎÄÕ·¢ÏÖÐÕºÍÃû¶Ôµ÷ÁË£¬Ôõô°ì°¡£¿
ÒѾÓÐ12È˻ظ´
ÏëÎÊÏÂÏÂÃæ¼¸¸ö·Ö×ӽṹʽÔõôÃüÃû£¬Ë×ÃûÊÇʲô£¿
ÒѾÓÐ5È˻ظ´
ʲôÛáÛöÊʺÏ×öÇ¿¼îÈÛÈÚÊÔÑé°¡£¿£¿£¿£¿£¿£¿£¿£¿
ÒѾÓÐ39È˻ظ´
¡¾Èí¼þ¡¿Óлú»¯Ñ§ÃüÃûר¼Ò£¨IUPACϵͳÃüÃû£©
ÒѾÓÐ523È˻ظ´
¸ß·Ö×ÓºÍÓлúÄĸö¸üºÃ
ÒѾÓÐ10È˻ظ´
ChemOffice2004
ÒѾÓÐ1È˻ظ´
¾§ÌåѧÖÐËùÌáµ½µÄ{110}£¬{111}µÈ¾§ÃæÊǰ´ÕÕʲô½øÐл®·Ö¡¢ÃüÃûµÄ£¿
ÒѾÓÐ3È˻ظ´
¡¾·ÖÏí¡¿ÃÀ¹úÃûÅÆÓлú»¯Ñ§×¨Òµ¼ò½é
ÒѾÓÐ18È˻ظ´
¡¾ÇóÖú¡¿½ðÊôÖÐÏàµÄÃüÃû
ÒѾÓÐ7È˻ظ´
¡¾ÇóÖú¡¿¸ß·Ö×ӽṹµÄÃüÃû
ÒѾÓÐ3È˻ظ´
¡¾ÇóÖú¡¿Çë½ÌchemofficeµÄ°æ±¾ÎÊÌâ
ÒѾÓÐ5È˻ظ´
¡¾ÇóÖú¡¿ÓлúѧµÄ²»Ì«ºÃ¿ÉÒÔѧ¸ß·Ö×ÓÂð£¿
ÒѾÓÐ30È˻ظ´
¡¾ÌÖÂÛ¡¿ÈçºÎÕæÕý°ÑÓлú»¯Ñ§Ñ§ºÃ
ÒѾÓÐ33È˻ظ´
zhuimeng-k
½ð³æ (ÖøÃûдÊÖ)
- Ó¦Öú: 19 (СѧÉú)
- ½ð±Ò: 8382.4
- É¢½ð: 44
- ºì»¨: 8
- Ìû×Ó: 1436
- ÔÚÏß: 408.5Сʱ
- ³æºÅ: 1161537
- ×¢²á: 2010-12-03
- ÐÔ±ð: GG
- רҵ: ÎÞ»úÄÉÃ×»¯Ñ§
¡ï ¡ï
wgs8136(½ð±Ò+2): ºÃ¸´ÔÓµÄÃû×Ö 2011-12-17 16:47:08
wgs8136: »ØÌûÖö¥ 2011-12-17 16:47:09
wgs8136(½ð±Ò+2): ºÃ¸´ÔÓµÄÃû×Ö 2011-12-17 16:47:08
wgs8136: »ØÌûÖö¥ 2011-12-17 16:47:09
|
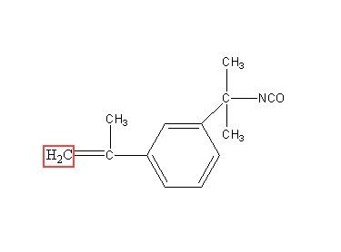
3-Òì±ûÏ©»ù-a£¬a-¶þ¼×»ù±½»ùÒìÇèËáõ¥ »ò3-Òì±ûÏ©»ù-¶þ¼×»ùÜлùÒìÇèËáõ¥¡£ºÇºÇ¡¡ºóÀ´°Ù¶Èµ½µÄ¡£ |
8Â¥2011-12-17 14:01:50
ºìÖÛÁ÷ÐÇ
ÈÙÓþ°æÖ÷ (ÎÄ̳¾«Ó¢)
Ö¾ÔÚ³ÉΪǧԪ»§£¡
- PEPI: 2
- Ó¦Öú: 304 (´óѧÉú)
- ¹ó±ö: 24.278
- ½ð±Ò: 2630
- É¢½ð: 55784
- ºì»¨: 208
- ɳ·¢: 719
- Ìû×Ó: 19854
- ÔÚÏß: 2621Сʱ
- ³æºÅ: 1304427
- ×¢²á: 2011-05-24
- ÐÔ±ð: GG
- רҵ: ·ÂÉú²ÄÁÏ
- ¹ÜϽ: ²ÄÁÏ×ÛºÏ
¡ï ¡ï
Сľ³æ(½ð±Ò+0.5):¸ø¸öºì°ü£¬Ð»Ð»»ØÌû
wgs8136(½ð±Ò+1): 2011-12-17 16:46:02
Сľ³æ(½ð±Ò+0.5):¸ø¸öºì°ü£¬Ð»Ð»»ØÌû
wgs8136(½ð±Ò+1): 2011-12-17 16:46:02
| ÓÃchemofficeÊÔÊÔ |

2Â¥2011-12-16 20:34:22
zhuimeng-k
½ð³æ (ÖøÃûдÊÖ)
- Ó¦Öú: 19 (СѧÉú)
- ½ð±Ò: 8382.4
- É¢½ð: 44
- ºì»¨: 8
- Ìû×Ó: 1436
- ÔÚÏß: 408.5Сʱ
- ³æºÅ: 1161537
- ×¢²á: 2010-12-03
- ÐÔ±ð: GG
- רҵ: ÎÞ»úÄÉÃ×»¯Ñ§
3Â¥2011-12-16 21:13:00
ºìÖÛÁ÷ÐÇ
ÈÙÓþ°æÖ÷ (ÎÄ̳¾«Ó¢)
Ö¾ÔÚ³ÉΪǧԪ»§£¡
- PEPI: 2
- Ó¦Öú: 304 (´óѧÉú)
- ¹ó±ö: 24.278
- ½ð±Ò: 2630
- É¢½ð: 55784
- ºì»¨: 208
- ɳ·¢: 719
- Ìû×Ó: 19854
- ÔÚÏß: 2621Сʱ
- ³æºÅ: 1304427
- ×¢²á: 2011-05-24
- ÐÔ±ð: GG
- רҵ: ·ÂÉú²ÄÁÏ
- ¹ÜϽ: ²ÄÁÏ×ÛºÏ
¡ï ¡ï
Сľ³æ(½ð±Ò+0.5):¸ø¸öºì°ü£¬Ð»Ð»»ØÌû
wgs8136(½ð±Ò+1): 2011-12-17 16:46:24
Сľ³æ(½ð±Ò+0.5):¸ø¸öºì°ü£¬Ð»Ð»»ØÌû
wgs8136(½ð±Ò+1): 2011-12-17 16:46:24
|
ÃÀ¹ú½£ÇŹ«Ë¾×îа汾ChemOffice Ultra 2004 ÊÇÊÀ½çÉÏÓÅÐãµÄ×ÀÃæ»¯Ñ§Èí¼þ£¬¼¯Ç¿´óµÄÓ¦Óù¦ÄÜÓÚÒ»Éí, ΪÄúÌṩÁËÓÅÐãµÄ»¯Ñ§¸¨Öúϵͳ,ʹÄúµÄÑо¿¹¤×÷´ïµ½Ò»¸öеĸ߶ȡ£ChemOffice Ultra 2004 °üÀ¨ ChemDraw Ultra ¡¢Chem3D Ultra ¡¢ ChemFinder Ultra µÈһϵÁÐÍêÕûµÄÈí¼þ¡£¿ÉÒÔ½«»¯ºÏÎïÃû³ÆÖ±½ÓתΪ½á¹¹Í¼£¬Ê¡È¥»æÍ¼µÄÂé·³£»Ò²¿ÉÒÔ¶ÔÒÑÖª½á¹¹µÄ»¯ºÏÎïÃüÃû£¬¸ø³öÕýÈ·µÄ»¯ºÏÎïÃû³Æ¡£ |

4Â¥2011-12-17 02:21:58
zlf112233zlf
Ìú³æ (³õÈëÎÄ̳)
- Ó¦Öú: 0 (Ó×¶ùÔ°)
- ½ð±Ò: 333.5
- Ìû×Ó: 9
- ÔÚÏß: 7.8Сʱ
- ³æºÅ: 1534665
- ×¢²á: 2011-12-12
- ÐÔ±ð: GG
¡ï ¡ï
Сľ³æ(½ð±Ò+0.5):¸ø¸öºì°ü£¬Ð»Ð»»ØÌû
wgs8136(½ð±Ò+1): 2011-12-17 16:46:30
Сľ³æ(½ð±Ò+0.5):¸ø¸öºì°ü£¬Ð»Ð»»ØÌû
wgs8136(½ð±Ò+1): 2011-12-17 16:46:30
| Õâ¸ö»¹ÕæÊDZȽϸ´ÔÓ |

5Â¥2011-12-17 08:45:13
caocmy
ľ³æ (ÕýʽдÊÖ)
- Ó¦Öú: 0 (Ó×¶ùÔ°)
- ½ð±Ò: 4081.7
- É¢½ð: 166
- ºì»¨: 2
- Ìû×Ó: 714
- ÔÚÏß: 507.2Сʱ
- ³æºÅ: 642723
- ×¢²á: 2008-11-01
- ÐÔ±ð: GG
- רҵ: ¹¦ÄÜÓëÖÇÄܸ߷Ö×Ó
¡ï ¡ï ¡ï
Сľ³æ(½ð±Ò+0.5):¸ø¸öºì°ü£¬Ð»Ð»»ØÌû
wgs8136(½ð±Ò+2): »¶Ó½»Á÷ 2011-12-17 16:46:40
Сľ³æ(½ð±Ò+0.5):¸ø¸öºì°ü£¬Ð»Ð»»ØÌû
wgs8136(½ð±Ò+2): »¶Ó½»Á÷ 2011-12-17 16:46:40
| 2-£¨3-(2-±ûÏ©»ù)±½»ù£©±û»ù-2-ÒìÇèËáõ¥£¿ |
6Â¥2011-12-17 10:14:31
llsq
гæ (ÕýʽдÊÖ)
- Ó¦Öú: 0 (Ó×¶ùÔ°)
- ½ð±Ò: 2208.9
- É¢½ð: 3
- ºì»¨: 1
- Ìû×Ó: 326
- ÔÚÏß: 87.5Сʱ
- ³æºÅ: 1421181
- ×¢²á: 2011-09-28
- רҵ: ʯÓÍÌìÈ»Æø¿ª²É
¡ï ¡ï
Сľ³æ(½ð±Ò+0.5):¸ø¸öºì°ü£¬Ð»Ð»»ØÌû
wgs8136(½ð±Ò+1): 2011-12-17 16:46:51
Сľ³æ(½ð±Ò+0.5):¸ø¸öºì°ü£¬Ð»Ð»»ØÌû
wgs8136(½ð±Ò+1): 2011-12-17 16:46:51
| ÄĸöChemÓÖ²»ÊÇɶ¶¼¿ÉÒÔÃüÃû¡£ |
7Â¥2011-12-17 10:39:09
zhuimeng-k
½ð³æ (ÖøÃûдÊÖ)
- Ó¦Öú: 19 (СѧÉú)
- ½ð±Ò: 8382.4
- É¢½ð: 44
- ºì»¨: 8
- Ìû×Ó: 1436
- ÔÚÏß: 408.5Сʱ
- ³æºÅ: 1161537
- ×¢²á: 2010-12-03
- ÐÔ±ð: GG
- רҵ: ÎÞ»úÄÉÃ×»¯Ñ§
|
ºìÖÛÁ÷ÐÇÄãÓÐChemOffice Ultra 2004 Èí¼þ²»£¿Äܲ»ÄÜ·¢¸øÎÒ°¡£¿Ð»Ð»£¡ÓÊÏ䣺zzwkevin@126.com ·Ç³£¸Ðл£¡ |
9Â¥2011-12-17 14:03:35
ºìÖÛÁ÷ÐÇ
ÈÙÓþ°æÖ÷ (ÎÄ̳¾«Ó¢)
Ö¾ÔÚ³ÉΪǧԪ»§£¡
- PEPI: 2
- Ó¦Öú: 304 (´óѧÉú)
- ¹ó±ö: 24.278
- ½ð±Ò: 2630
- É¢½ð: 55784
- ºì»¨: 208
- ɳ·¢: 719
- Ìû×Ó: 19854
- ÔÚÏß: 2621Сʱ
- ³æºÅ: 1304427
- ×¢²á: 2011-05-24
- ÐÔ±ð: GG
- רҵ: ·ÂÉú²ÄÁÏ
- ¹ÜϽ: ²ÄÁÏ×ÛºÏ
¡ï
Сľ³æ(½ð±Ò+0.5):¸ø¸öºì°ü£¬Ð»Ð»»ØÌû
Сľ³æ(½ð±Ò+0.5):¸ø¸öºì°ü£¬Ð»Ð»»ØÌû
|
http://www.onlinedown.net/soft/21240.htm ×Ô¼ºÈ¥Ï°ɣ¬GOOGLEµÚÒ»Ïî |

10Â¥2011-12-17 14:12:18














»Ø¸´´ËÂ¥