| 查看: 429 | 回复: 2 | |
yueyumei94金虫 (正式写手)
|
[求助]
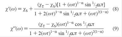
求助,请教 cole-cole 拟合单分子磁体alph值?
|
|
|
|
yueyumei94金虫 (正式写手)
|
|
|
2楼2014-07-20 14:52:10
|
|
yueyumei94金虫 (正式写手)
|
|
|
3楼2014-07-20 14:54:23
|
|













回复此楼