| ²é¿´: 987 | »Ø¸´: 6 | |||
hylb3020ľ³æ (ÕýʽдÊÖ)
Á÷ÌåÁ¦Ñ§°®ºÃÕß
|
[ÇóÖú]
ÈçºÎ×÷³öPeregrine breather solutionµÄͼÏñ ÒÑÓÐ1È˲ÎÓë
|
|
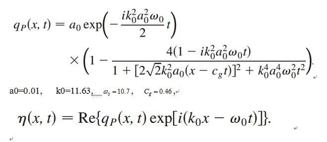
ÈçͼËùʾ£¬Çó½Ì ÔõÑùµÃµ½eta(x,t)µÄͼÏñ£¿ X·Ö±ðÈ¡ÁË3¸öÖµ3.3, 6.3, 9.3¡£ ÎÄÏ׸ø³öµÄͼÏñ3. ²»¹ýÎÒһֱû×ö³öÀ´¡£ ÎÒÊÔÁËÓÃmapleºÍmatlab. ÇóÖú×÷³ö´Ëº¯ÊýͼÏñµÄÏêϸ³ÌÐò¡£²»Éõ¸Ð¼¤¡£ peregrine.jpg 002.jpg |
» ²ÂÄãϲ»¶
²ÄÁÏÓ뻯¹¤×¨Ë¶µ÷¼Á
ÒѾÓÐ6È˻ظ´
086500 325 Çóµ÷¼Á
ÒѾÓÐ3È˻ظ´
²ÄÁÏ080500µ÷¼ÁÇóÊÕÁô
ÒѾÓÐ7È˻ظ´
Ò»Ö¾Ô¸Äϲý´óѧ£¬327·Ö£¬²ÄÁÏÓ뻯¹¤085600
ÒѾÓÐ6È˻ظ´
»·¾³¹¤³Ìµ÷¼Á
ÒѾÓÐ9È˻ظ´
¹¤¿Æ²ÄÁÏ085601 279Çóµ÷¼Á
ÒѾÓÐ9È˻ظ´
287Çóµ÷¼Á
ÒѾÓÐ5È˻ظ´
22408 344·Ö Çóµ÷¼Á Ò»Ö¾Ô¸ »ªµç¼ÆËã»ú¼¼Êõ
ÒѾÓÐ3È˻ظ´
289Çóµ÷¼Á
ÒѾÓÐ3È˻ظ´
317Çóµ÷¼Á
ÒѾÓÐ10È˻ظ´

feixiaolin
ÈÙÓþ°æÖ÷ (ÎÄ̳¾«Ó¢)
-

ר¼Ò¾Ñé: +518 - Ó¦Öú: 942 (²©ºó)
- ¹ó±ö: 1.275
- ½ð±Ò: 3430
- É¢½ð: 58785
- ºì»¨: 532
- ɳ·¢: 11
- Ìû×Ó: 24215
- ÔÚÏß: 2601.8Сʱ
- ³æºÅ: 2139575
- ×¢²á: 2012-11-21
- רҵ: ¹âѧÐÅÏ¢»ñÈ¡Óë´¦Àí
- ¹ÜϽ: Êýѧ
2Â¥2014-07-14 16:54:32
ayismas
ľ³æ (ÕýʽдÊÖ)
- Ó¦Öú: 34 (СѧÉú)
- ½ð±Ò: 2776.3
- É¢½ð: 960
- ºì»¨: 8
- Ìû×Ó: 641
- ÔÚÏß: 355.3Сʱ
- ³æºÅ: 2564908
- ×¢²á: 2013-07-25
- ÐÔ±ð: GG
- רҵ: ÊýÀíͳ¼Æ
¡¾´ð°¸¡¿Ó¦Öú»ØÌû
¸Ðл²ÎÓ룬ӦÖúÖ¸Êý +1
» ±¾ÌûÒÑ»ñµÃµÄºì»¨£¨×îÐÂ10¶ä£©
3Â¥2014-07-14 19:15:57
hylb3020
ľ³æ (ÕýʽдÊÖ)
Á÷ÌåÁ¦Ñ§°®ºÃÕß
- Ó¦Öú: 14 (СѧÉú)
- ½ð±Ò: 1976.9
- É¢½ð: 498
- ºì»¨: 5
- Ìû×Ó: 317
- ÔÚÏß: 402.4Сʱ
- ³æºÅ: 2020234
- ×¢²á: 2012-09-22
- ÐÔ±ð: GG
- רҵ: Á÷ÌåÁ¦Ñ§

4Â¥2014-07-14 22:28:44
hylb3020
ľ³æ (ÕýʽдÊÖ)
Á÷ÌåÁ¦Ñ§°®ºÃÕß
- Ó¦Öú: 14 (СѧÉú)
- ½ð±Ò: 1976.9
- É¢½ð: 498
- ºì»¨: 5
- Ìû×Ó: 317
- ÔÚÏß: 402.4Сʱ
- ³æºÅ: 2020234
- ×¢²á: 2012-09-22
- ÐÔ±ð: GG
- רҵ: Á÷ÌåÁ¦Ñ§

5Â¥2014-07-14 22:29:16
ayismas
ľ³æ (ÕýʽдÊÖ)
- Ó¦Öú: 34 (СѧÉú)
- ½ð±Ò: 2776.3
- É¢½ð: 960
- ºì»¨: 8
- Ìû×Ó: 641
- ÔÚÏß: 355.3Сʱ
- ³æºÅ: 2564908
- ×¢²á: 2013-07-25
- ÐÔ±ð: GG
- רҵ: ÊýÀíͳ¼Æ
¡¾´ð°¸¡¿Ó¦Öú»ØÌû
¡ï ¡ï ¡ï ¡ï ¡ï ¡ï ¡ï ¡ï ¡ï ¡ï
hylb3020: ½ð±Ò+10, ¡ï¡ï¡ïºÜÓаïÖú 2014-07-15 09:09:36
hylb3020: ½ð±Ò+10, ¡ï¡ï¡ïºÜÓаïÖú 2014-07-15 09:09:36
|
Õâ¸öÖ±½Ó´ø¹«Ê½¾Í¿ÉÒÔÇó³öÀ´ÁË£¬È»ºó×ö3Dͼ£¬²»»áºÜÄÑ£¬°ÑͼÐýת¾Í¿ÉÒԵĵ½ÏàÓ¦µÄ2DͼÁË |
6Â¥2014-07-14 22:41:29
hylb3020
ľ³æ (ÕýʽдÊÖ)
Á÷ÌåÁ¦Ñ§°®ºÃÕß
- Ó¦Öú: 14 (СѧÉú)
- ½ð±Ò: 1976.9
- É¢½ð: 498
- ºì»¨: 5
- Ìû×Ó: 317
- ÔÚÏß: 402.4Сʱ
- ³æºÅ: 2020234
- ×¢²á: 2012-09-22
- ÐÔ±ð: GG
- רҵ: Á÷ÌåÁ¦Ñ§

7Â¥2016-08-14 14:43:29













»Ø¸´´ËÂ¥

hylb3020