版块导航
正在加载中...
客户端APP下载
论文辅导
申博辅导
登录
注册
帖子
帖子
用户
本版
应《网络安全法》要求,自2017年10月1日起,未进行实名认证将不得使用互联网跟帖服务。为保障您的帐号能够正常使用,请尽快对帐号进行手机号验证,感谢您的理解与支持!
24小时热门版块排行榜
>
论坛更新日志
(3985)
>
文献求助
(426)
>
导师招生
(370)
>
虫友互识
(364)
>
休闲灌水
(242)
>
考博
(168)
>
硕博家园
(124)
>
招聘信息布告栏
(116)
>
博后之家
(96)
>
论文投稿
(89)
>
基金申请
(69)
>
公派出国
(63)
>
考研
(61)
>
论文道贺祈福
(55)
>
找工作
(45)
>
教师之家
(37)
小木虫论坛-学术科研互动平台
»
生物医药区
»
新药研发
»
注册申报
»
求助下面三个化合物的合成路线
4
1/1
返回列表
查看: 690 | 回复: 3
只看楼主
@他人
存档
新回复提醒
(忽略)
收藏
在APP中查看
yazhou
金虫
(著名写手)
化外逸民
应助: 17
(小学生)
金币: 3150.2
散金: 11
红花: 7
帖子: 1226
在线: 189.5小时
虫号: 828491
注册: 2009-08-15
性别: GG
专业: 有机合成
[
求助
]
求助下面三个化合物的合成路线
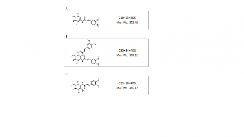
求助,下面三个化合物的合成路线?
无标题.png
回复此楼
» 猜你喜欢
是不是现在考博都是推荐制?或者是已经内定了?还有通过考试招博士的学校吗?
已经有39人回复
农产品中农药监测的免疫传感器的疑问
已经有0人回复
药物学论文润色/翻译怎么收费?
已经有225人回复
纳米传感器监测农药残留的疑惑
已经有0人回复
求助《生物利用度和生物等效性研究指导原则》(试 行),2002
已经有0人回复
谁有人卫版 《毒理学基础》第七版书籍
已经有0人回复
文献求助
已经有0人回复
26有没有老师想收做定量药理的学生啊
已经有3人回复
26考博申请 学or专
已经有15人回复
小分子化学药物研究中PDE怎么查,有无相应网站推荐?
已经有0人回复
他汀类药物对HMG-COA还原酶抑制研究
已经有0人回复
» 本主题相关价值贴推荐,对您同样有帮助:
求下面任何一个化合物的合成
已经有5人回复
请大家帮忙想想以下几种化合物的合成路线。
已经有7人回复
求助这个化合物的合成路线。。。
已经有11人回复
以下3种产物的合成路线及原料
已经有11人回复
求助化合物的合成
已经有28人回复
求助下面这个化合物的逆合成分析的拆分方法或者合成路线。谢谢大神啦!!
已经有4人回复
求助一个化合物的合成方法
已经有8人回复
求下面化合物的合成路线
已经有6人回复
求助下面合成路线反应条件及方法
已经有11人回复
合成路线:大家来看看这个化合物怎么合成
已经有16人回复
讨论该化合物合成路线
已经有5人回复
求助一化合物合成方法,理化性质,做过的兄弟指点一下
已经有11人回复
化合物合成设计
已经有23人回复
悬赏下面化合物的合成路线
已经有6人回复
【求助】求增加化合物水溶性的修饰路线
已经有6人回复
【求助】求该化合物的合成路线 谢谢大家指点
已经有8人回复
【求助】求助一简单化合物的全部合成路线
已经有6人回复
【求助】求助化合物合成
已经有10人回复
【求助】化合物合成求助
已经有6人回复
【求助】求助此化合物的合成问题
已经有5人回复
【求助】求一化合物的合成路线CAS No:5434-29-7
已经有8人回复
蹒跚前行
1楼
2014-07-12 23:37:25
已阅
回复此楼
关注TA
给TA发消息
送TA红花
TA的回帖
wangjt06
铁杆木虫
(正式写手)
应助: 10
(幼儿园)
金币: 7048.6
散金: 10
红花: 10
帖子: 605
在线: 555.3小时
虫号: 367502
注册: 2007-05-10
性别: GG
专业: 物理有机化学
貌似都是DPP-4类抑制剂
赞
一下
(1人)
回复此楼
2楼
2014-07-13 22:17:47
已阅
回复此楼
关注TA
给TA发消息
送TA红花
TA的回帖
yazhou
金虫
(著名写手)
化外逸民
应助: 17
(小学生)
金币: 3150.2
散金: 11
红花: 7
帖子: 1226
在线: 189.5小时
虫号: 828491
注册: 2009-08-15
性别: GG
专业: 有机合成
引用回帖:
2楼
:
Originally posted by
wangjt06
at 2014-07-13 22:17:47
貌似都是DPP-4类抑制剂
不是的,跟糖尿病无关
赞
一下
回复此楼
蹒跚前行
3楼
2014-07-14 08:35:09
已阅
回复此楼
关注TA
给TA发消息
送TA红花
TA的回帖
roweahioh
新虫
(小有名气)
应助: 0
(幼儿园)
金币: 91.3
红花: 3
帖子: 241
在线: 15.9小时
虫号: 3069866
注册: 2014-03-19
如果有CAS的话,首先去查查ca当中的记录
赞
一下
(1人)
回复此楼
4楼
2014-07-14 10:08:36
已阅
回复此楼
关注TA
给TA发消息
送TA红花
TA的回帖
相关版块跳转
新药研发
药学
药品生产
分子生物
微生物
动植物
生物科学
医学
我要订阅楼主
yazhou
的主题更新
4
1/1
返回列表
如果回帖内容含有宣传信息,请如实选中。否则帐号将被全论坛禁言
普通表情
龙
兔
虎
猫
百度网盘
|
360云盘
|
千易网盘
|
华为网盘
在新窗口页面中打开自己喜欢的网盘网站,将文件上传后,然后将下载链接复制到帖子内容中就可以了。
信息提示
关闭
请填处理意见
关闭
确定