| 查看: 199 | 回复: 0 | ||
[求助]
1,4-异戊二烯聚合物环化结构是什么?
|
|
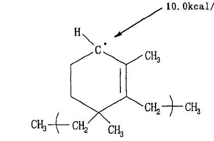
1,4-异戊二烯聚合物环化结构是什么?有篇文献中倒是有描述,如下图!但这个结构我本身持怀疑态度或者说没搞懂,为什么双键与甲基的位置都发生了变化?求教大神 F2QGLA55S{QQN2B%@1(SXCM.jpg |
» 猜你喜欢
309分085801求调剂
已经有7人回复
生物学308分求调剂(一志愿华东师大)
已经有3人回复
求调剂:一志愿:南京大学 专业:0705 总分320 ,本科985,四六级已过
已经有3人回复
环境工程 085701,267求调剂
已经有14人回复
308求调剂
已经有12人回复
求调剂:085600材料与化工,考材科基,总分319
已经有21人回复
311求调剂
已经有8人回复
294分080500材料科学与工程求调剂
已经有13人回复
288求调剂 一志愿哈工大 材料与化工
已经有19人回复
288资源与环境专硕求调剂,不限专业,有学上就行
已经有23人回复
找到一些相关的精华帖子,希望有用哦~
正光刻胶(环化聚异戊二烯、光敏剂、溶剂)的毒性?
已经有3人回复
【油品调合系列专题之一】汽油调合及添加剂
已经有42人回复
2014年度浙江省自然科学基金拟资助项目清单
已经有14人回复
溶液聚合法制备强度较大的絮状高分子
已经有7人回复
请教阴离子聚合为什么没有链转移?
已经有12人回复
聚对苯二甲酸乙二醇酯(PET)红外谱图解析
已经有8人回复
【工艺技术交流】化工工艺的点点滴滴,再给你机会,你还会继续选择它吗?
已经有32人回复
【讨论】水性环氧树脂
已经有15人回复
【分享】〖名词解释〗生物化学名词解释
已经有14人回复
2006年川大高分子化学考博试题
已经有8人回复
科研从小木虫开始,人人为我,我为人人














回复此楼
点击这里搜索更多相关资源