| ²é¿´: 1871 | »Ø¸´: 17 | ||
mengmengshi½ð³æ (СÓÐÃûÆø)
|
[ÇóÖú]
4-Èý·ú¼×»ùÑÌËá ÆøÖʽâÎö ÒÑÓÐ1È˲ÎÓë
|
|
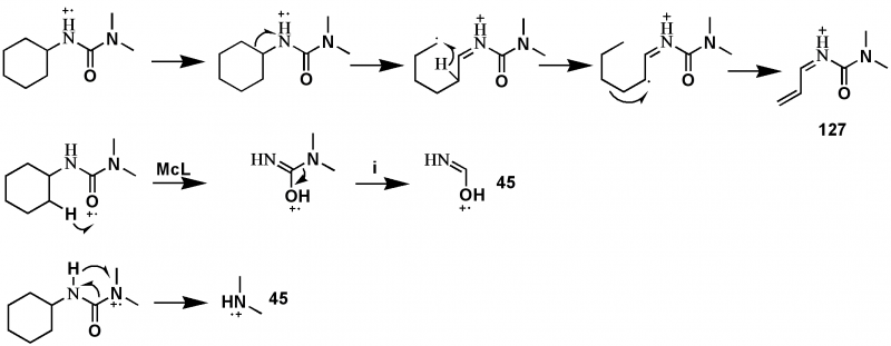
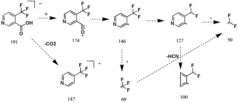
| ´ó¼ÒºÃ£¬ÏëÖªµÀ4-Èý·ú¼×»ùÑÌËáµÄÆøÖÊ£¨EI£©Æ×ͼÊÇÔõô½âÎöµÄ£¬·Ö×ÓÀë×Ó·å190.9£¬Ë鯬Àë×ÓΪ172.9£¬145.9£¬126.9£¬99.9£¬68.9£¬50.0£¬Ï£Íû¸½ÖÊÆ×½âÎöµÄ·½³Ìʽ»òÏà¹ØÎÄÏ×£¬Ð»Ð» |
» ²ÂÄãϲ»¶
22ר˶Çóµ÷¼Á
ÒѾÓÐ11È˻ظ´
284Çóµ÷¼Á
ÒѾÓÐ20È˻ظ´
291Çóµ÷¼Á
ÒѾÓÐ7È˻ظ´
296Çóµ÷¼Á
ÒѾÓÐ5È˻ظ´
Ò»Ö¾Ô¸»¦9£¬ÉúÎïѧ326Çóµ÷¼Á
ÒѾÓÐ4È˻ظ´
ÉúÎïѧµ÷¼Á
ÒѾÓÐ8È˻ظ´
22408 312Çóµ÷¼Á
ÒѾÓÐ19È˻ظ´
26Äêµç³Ø·½Ïò²©Ê¿ÉêÇë
ÒѾÓÐ4È˻ظ´
0854µ÷¼Á
ÒѾÓÐ16È˻ظ´
ɽ¶«Ê¡»ù½ð2026
ÒѾÓÐ13È˻ظ´
» ±¾Ö÷ÌâÏà¹ØÉ̼ÒÍÆ¼ö: (ÎÒÒ²ÒªÔÚÕâÀïÍÆ¹ã)
» ±¾Ö÷ÌâÏà¹Ø¼ÛÖµÌùÍÆ¼ö£¬¶ÔÄúͬÑùÓаïÖú:
¹òÇó4-°±»ù-2-Èý·ú¼×»ùßÁवÄÏà¹ØÆ×ͼ£¨ºË´Å£¬ÖÊÆ×µÈµÈ£©
ÒѾÓÐ4È˻ظ´
6-ôÇ»ùÑÌËáµÄÏõ»¯
ÒѾÓÐ6È˻ظ´
6ôÇ»ùÑÌËáµÄÏõ»¯
ÒѾÓÐ5È˻ظ´
2-¼×»ù-4-Èý·ú¼×»ù-5-àçßòËáµÄºÏ³É
ÒѾÓÐ6È˻ظ´
ÇóÖú2,6-ÂÈ-àÑßʺËÜպϳɷ½·¨
ÒѾÓÐ5È˻ظ´
2-°±»ù-5-Èý·ú¼×»ù-1¡¢3¡¢4-àç¶þßò
ÒѾÓÐ6È˻ظ´
7-ôÇ»ù-4-Èý·ú¼×»ùàßøÍª
ÒѾÓÐ11È˻ظ´
2£¬6-¶þÂÈ-3-Çè»ù-4-Èý·ú¼×»ù ÔõôÍÑÂÈ
ÒѾÓÐ12È˻ظ´
¡¾ÇóÖú¡¿ÓÃÈý·ú¼×»ùÈý¼×»ù¹èÍé×öÈý·ú¼×»ù»¯ÊÔ¼Á¸ø3£¬5-¶þ·ú-4-µâäå±½ÔÚ4ºÅλÉÏÈý·ú¼×»
ÒѾÓÐ4È˻ظ´
¡¾ÇóÖú¡¿¸ßÃÌËá¼ØÑõ»¯¼×»ù³ÉôÈ»ù·´Ó¦µÄºó´¦Àí
ÒѾÓÐ15È˻ظ´
wy19871124
гæ (Ö°Òµ×÷¼Ò)
ÖÊÆ×Ê×ϯ¹ËÎÊ
- ACI: 2
- Ó¦Öú: 551 (²©Ê¿)
- ½ð±Ò: 1607.6
- É¢½ð: 959
- ºì»¨: 183
- Ìû×Ó: 3052
- ÔÚÏß: 447.4Сʱ
- ³æºÅ: 1593016
- ×¢²á: 2012-01-31
- ÐÔ±ð: GG
- רҵ: ÖÊÆ×·ÖÎö
¡¾´ð°¸¡¿Ó¦Öú»ØÌû
¡ï ¡ï ¡ï ¡ï ¡ï ¡ï ¡ï ¡ï ¡ï ¡ï
¸Ðл²ÎÓ룬ӦÖúÖ¸Êý +1
mengmengshi(·ÑÒ¦ÓÀ·Ò´ú·¢): ½ð±Ò+10, ÐÁ¿àÁË£¬Ð»Ð»½»Á÷ 2014-07-03 09:45:51
¸Ðл²ÎÓ룬ӦÖúÖ¸Êý +1
mengmengshi(·ÑÒ¦ÓÀ·Ò´ú·¢): ½ð±Ò+10, ÐÁ¿àÁË£¬Ð»Ð»½»Á÷ 2014-07-03 09:45:51
2Â¥2014-07-02 11:44:31
mengmengshi
½ð³æ (СÓÐÃûÆø)
- Ó¦Öú: 0 (Ó×¶ùÔ°)
- ½ð±Ò: 1182.5
- É¢½ð: 184
- Ìû×Ó: 64
- ÔÚÏß: 16.2Сʱ
- ³æºÅ: 1285873
- ×¢²á: 2011-05-04
- ÐÔ±ð: MM
- רҵ: É«Æ×·ÖÎö
3Â¥2014-07-02 13:53:59
wy19871124
гæ (Ö°Òµ×÷¼Ò)
ÖÊÆ×Ê×ϯ¹ËÎÊ
- ACI: 2
- Ó¦Öú: 551 (²©Ê¿)
- ½ð±Ò: 1607.6
- É¢½ð: 959
- ºì»¨: 183
- Ìû×Ó: 3052
- ÔÚÏß: 447.4Сʱ
- ³æºÅ: 1593016
- ×¢²á: 2012-01-31
- ÐÔ±ð: GG
- רҵ: ÖÊÆ×·ÖÎö
¡¾´ð°¸¡¿Ó¦Öú»ØÌû
4Â¥2014-07-02 15:11:21
wy19871124
гæ (Ö°Òµ×÷¼Ò)
ÖÊÆ×Ê×ϯ¹ËÎÊ
- ACI: 2
- Ó¦Öú: 551 (²©Ê¿)
- ½ð±Ò: 1607.6
- É¢½ð: 959
- ºì»¨: 183
- Ìû×Ó: 3052
- ÔÚÏß: 447.4Сʱ
- ³æºÅ: 1593016
- ×¢²á: 2012-01-31
- ÐÔ±ð: GG
- רҵ: ÖÊÆ×·ÖÎö
5Â¥2014-07-02 15:16:26
mengmengshi
½ð³æ (СÓÐÃûÆø)
- Ó¦Öú: 0 (Ó×¶ùÔ°)
- ½ð±Ò: 1182.5
- É¢½ð: 184
- Ìû×Ó: 64
- ÔÚÏß: 16.2Сʱ
- ³æºÅ: 1285873
- ×¢²á: 2011-05-04
- ÐÔ±ð: MM
- רҵ: É«Æ×·ÖÎö
6Â¥2014-07-02 16:33:48
wy19871124
гæ (Ö°Òµ×÷¼Ò)
ÖÊÆ×Ê×ϯ¹ËÎÊ
- ACI: 2
- Ó¦Öú: 551 (²©Ê¿)
- ½ð±Ò: 1607.6
- É¢½ð: 959
- ºì»¨: 183
- Ìû×Ó: 3052
- ÔÚÏß: 447.4Сʱ
- ³æºÅ: 1593016
- ×¢²á: 2012-01-31
- ÐÔ±ð: GG
- רҵ: ÖÊÆ×·ÖÎö
¡¾´ð°¸¡¿Ó¦Öú»ØÌû
7Â¥2014-07-02 17:33:48
mengmengshi
½ð³æ (СÓÐÃûÆø)
- Ó¦Öú: 0 (Ó×¶ùÔ°)
- ½ð±Ò: 1182.5
- É¢½ð: 184
- Ìû×Ó: 64
- ÔÚÏß: 16.2Сʱ
- ³æºÅ: 1285873
- ×¢²á: 2011-05-04
- ÐÔ±ð: MM
- רҵ: É«Æ×·ÖÎö
8Â¥2014-07-03 15:45:45
wy19871124
гæ (Ö°Òµ×÷¼Ò)
ÖÊÆ×Ê×ϯ¹ËÎÊ
- ACI: 2
- Ó¦Öú: 551 (²©Ê¿)
- ½ð±Ò: 1607.6
- É¢½ð: 959
- ºì»¨: 183
- Ìû×Ó: 3052
- ÔÚÏß: 447.4Сʱ
- ³æºÅ: 1593016
- ×¢²á: 2012-01-31
- ÐÔ±ð: GG
- רҵ: ÖÊÆ×·ÖÎö
9Â¥2014-07-03 17:27:25
mengmengshi
½ð³æ (СÓÐÃûÆø)
- Ó¦Öú: 0 (Ó×¶ùÔ°)
- ½ð±Ò: 1182.5
- É¢½ð: 184
- Ìû×Ó: 64
- ÔÚÏß: 16.2Сʱ
- ³æºÅ: 1285873
- ×¢²á: 2011-05-04
- ÐÔ±ð: MM
- רҵ: É«Æ×·ÖÎö
10Â¥2014-07-04 13:36:42














»Ø¸´´ËÂ¥