| 查看: 296 | 回复: 0 | ||
[求助]
求助下面公式的matlab语言
|
|
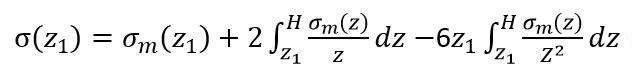
求下面这个公式的matlab语言,有与需要计算的数据较多,想用matlab计算,不知道有没有大神帮忙。 重点是积分的程序语言,σ_m (z)、σ_m (z1 )为测量值,Z1以及H已知;谢谢!!! 残余应力修正公式.JPG |
» 猜你喜欢
博士延得我,科研能力直往上蹿
已经有7人回复
退学或坚持读
已经有27人回复
面上基金申报没有其他的参与者成吗
已经有5人回复
有70后还继续奋斗在职场上的吗?
已经有5人回复
遇见不省心的家人很难过
已经有22人回复
多组分精馏求助
已经有6人回复

找到一些相关的精华帖子,希望有用哦~
有偿求助会用matlab对粒子群算法编程的同学
已经有5人回复
求Origin或Matlab高手非线性拟合公式
已经有5人回复
求助Matlab批处理for语句循环
已经有5人回复
求助:资源优化问题的遗传算法matlab编程
已经有5人回复
我的MATLAB 公式代码,怎么一直提示 错误
已经有3人回复
Matlab 含有两个参数的公式拟合
已经有4人回复
求助一个matlab关于分类讨论的问题
已经有9人回复
求助高手将以下C语言翻译为Matlab语言,急急急!
已经有12人回复
求助Matlab的Addpath的用法,谢谢
已经有5人回复
matlab拟合公式中未知系数
已经有5人回复
求助使用MATLAB计算绿色叶片的覆盖度的问题
已经有24人回复
求助matlab编程
已经有13人回复
【求助】matlab话纵向图
已经有5人回复
【求助】使用MATLAB拟合出按照公式的系数
已经有19人回复
【求助】matlab中如何将程序的结果输出到一个文件中
已经有11人回复
【求助】弱弱的问下,Matlab如何在公式中输入希腊字母?
已经有6人回复
matlab的fig中插入特殊字符或中文或公式的办法?要求eps格式
已经有5人回复
【求助】帮我编个程啊~C语言,C++,Matlab,VB...都行~
已经有14人回复
【求助】matlab有公式的曲线拟合
已经有7人回复
科研从小木虫开始,人人为我,我为人人













回复此楼
点击这里搜索更多相关资源