版块导航
正在加载中...
客户端APP下载
论文辅导
调剂小程序
登录
注册
帖子
帖子
用户
本版
应《网络安全法》要求,自2017年10月1日起,未进行实名认证将不得使用互联网跟帖服务。为保障您的帐号能够正常使用,请尽快对帐号进行手机号验证,感谢您的理解与支持!
24小时热门版块排行榜
>
论坛更新日志
(3008)
>
导师招生
(287)
>
虫友互识
(244)
>
文献求助
(211)
>
休闲灌水
(126)
>
考研
(99)
>
硕博家园
(88)
>
论文投稿
(51)
>
考博
(49)
>
基金申请
(41)
>
博后之家
(33)
>
招聘信息布告栏
(31)
>
教师之家
(30)
>
无机非金属
(26)
>
绿色求助(高悬赏)
(24)
>
找工作
(22)
小木虫论坛-学术科研互动平台
»
化学化工区
»
分析
»
数据分析
»
一个XRD 图 大家来帮我分析一下 谢谢啦
1
1/1
返回列表
查看: 346 | 回复: 0
只看楼主
@他人
存档
新回复提醒
(忽略)
收藏
在APP中查看
ThxVV
木虫
(著名写手)
应助: 28
(小学生)
金币: 1484.2
散金: 20
红花: 2
帖子: 2123
在线: 76.4小时
虫号: 2054003
注册: 2012-10-11
性别: GG
专业: 化学反应工程
[
求助
]
一个XRD 图 大家来帮我分析一下 谢谢啦
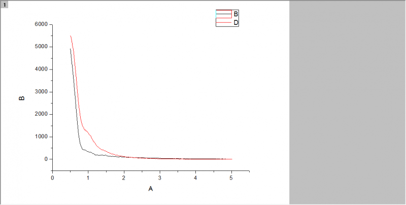
最近做了一个小角XRD图 是核壳材料 核实Ni 壳是SiO2
两条曲线 上面那条是800度焙烧过后的 下面那条是500度焙烧过后的 不知道是啥意思 哪位大神懂得 告知小弟一下
无标题.png
回复此楼
» 猜你喜欢
什么是人一生最重要的?
已经有7人回复
版面费该交吗
已经有17人回复
体制内长辈说体制内绝大部分一辈子在底层,如同你们一样大部分普通教师忙且收入低
已经有19人回复
【博士招生】太原理工大学2026化工博士
已经有8人回复
280求调剂
已经有4人回复
面上可以超过30页吧?
已经有12人回复
为什么中国大学工科教授们水了那么多所谓的顶会顶刊,但还是做不出宇树机器人?
已经有11人回复
网上报道青年教师午睡中猝死、熬夜猝死的越来越多,主要哪些原因引起的?
已经有9人回复
» 本主题相关商家推荐:
(我也要在这里推广)
1楼
2014-06-23 15:46:06
已阅
回复此楼
关注TA
给TA发消息
送TA红花
TA的回帖
智能机器人
Robot
(super robot)
我们都爱小木虫
找到一些相关的精华帖子,希望有用哦~
帮我看看这个xrd图,谢谢大家,在线等====
已经有6人回复
油田输送管腐蚀产物的XRD图,急求哪位高手帮我分析一下。非常感谢
已经有9人回复
帮看看一下xrd图这个物质的结晶度如何?谢谢
已经有4人回复
求分析一个XRD图谱。里面的物相主要是什么,已知主要元素:V、F、P、O、Li
已经有3人回复
奇怪的XRD图谱分析
已经有13人回复
求分析XRD谱图
已经有9人回复
十万火急,一个XRD图谱分析题,求详解!
已经有12人回复
分析XRD的谱图!!
已经有6人回复
【求助】XRD谱图分析
已经有19人回复
XRD求助,谁能帮忙给说一下各个峰的代号啊
已经有4人回复
请虫虫帮忙,分析一个 XRD图,谢谢了!
已经有13人回复
帮忙看下xrd的图,分析下里面的物质以及颗粒大小。谢谢!jade
已经有3人回复
帮忙分析一个XRD图
已经有4人回复
我做的XRD图谱,但是不知道怎么分析
已经有20人回复
帮忙分析一下XRD图中,聚合物的结晶度
已经有6人回复
XRD图谱能够自己画吗?
已经有13人回复
xrd图谱分析,图形与标准一样,但峰不能完全对齐
已经有2人回复
【求助】同一物种两个xrd谱图分析
已经有5人回复
【求助】各位XRD高人,帮我分析一下XRD谱图呗!
已经有14人回复
【求助】请各位虫友帮我分析一张XRD图谱
已经有19人回复
【求助】XRD高手帮忙看看,这图怎么这样?
已经有13人回复
【求助】煤灰XRD图谱如何分析?
已经有11人回复
【求助】请高手帮忙分析下聚合物XRD谱图
已经有9人回复
在oringe里怎么把两个XRD中的一个上移
已经有15人回复
【求助】分析一个XRD图片
已经有16人回复
点击这里搜索更多相关资源
科研从小木虫开始,人人为我,我为人人
相关版块跳转
有机交流
有机资源
高分子
无机/物化
分析
催化
工艺技术
化工设备
石油化工
精细化工
电化学
环境
SciFinder/Reaxys
我要订阅楼主
ThxVV
的主题更新
1
1/1
返回列表
如果回帖内容含有宣传信息,请如实选中。否则帐号将被全论坛禁言
普通表情
龙
兔
虎
猫
百度网盘
|
360云盘
|
千易网盘
|
华为网盘
在新窗口页面中打开自己喜欢的网盘网站,将文件上传后,然后将下载链接复制到帖子内容中就可以了。
信息提示
关闭
请填处理意见
关闭
确定