| 查看: 1968 | 回复: 6 | |
李飞叶木虫 (正式写手)
|
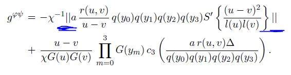
[求助]
请问图片式子中划线符号是什么意思 已有1人参与
|
![]() |
|
|
|
|
asmeng金虫 (正式写手)
|
|
|
2楼2014-06-22 19:47:42
|
|
shuxue0木虫 (正式写手)
|
|
|
3楼2014-06-22 20:02:51
|
|
李飞叶木虫 (正式写手)
|
|
![]() |
|
|
4楼2014-06-23 00:43:42
|
|
李飞叶木虫 (正式写手)
|
|
![]() |
|
|
5楼2014-06-23 00:45:47
|
|
peterflyer
|
|
|
6楼2014-06-24 10:00:29
|
|
peterflyer
|
|
|
7楼2014-06-24 10:07:50
|
|














回复此楼
