| 查看: 2594 | 回复: 1 | ||
[求助]
求流变中的松弛时间 已有1人参与
|
|
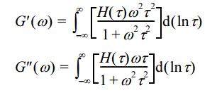
新人求助!!!!!!!动态流变中,怎么根据(比如聚合物A)储能模量和损耗模量求相应的加权松弛时间谱? 下面是文献给出的相关公式: 请看上传的图片。其中τ是松弛时间,ω是测试的角速度。 十万火急,跪求大神!!!! 1.jpg |
» 猜你喜欢
08工学调剂
已经有5人回复
281求调剂(0805)
已经有25人回复
085600材料与化工
已经有6人回复
265求调剂
已经有8人回复
0817 化学工程 299分求调剂 有科研经历 有二区文章
已经有21人回复
295材料求调剂,一志愿武汉理工085601专硕
已经有4人回复
0856调剂,是学校就去
已经有9人回复
298-一志愿中国农业大学-求调剂
已经有9人回复
求调剂
已经有4人回复
学校已经提交到NSFC,还能修改吗?
已经有7人回复
» 本主题相关价值贴推荐,对您同样有帮助:
求助,如何计算反应釜之间的转料时间?
已经有3人回复
高分子入门之——高分子粘弹性(英文第三版)
已经有219人回复
求助!高分子粘弹性和制品性能关系
已经有6人回复
本人测试一个流变样品的频率扫描,但是图很奇怪,不会分析,求助一下
已经有9人回复
关于硅橡胶的流变测试问题
已经有3人回复
流变测试中的几个参数
已经有5人回复
流变的松弛时间谱
已经有5人回复
关于流变学中平台模量
已经有10人回复
动态力学分析测量高分子平台模量以及粘流温度
已经有11人回复
哈克流变仪软件应用求助
已经有13人回复
流变指数n的求法~与粘度有关
已经有7人回复
旋转流变的表征问题
已经有9人回复
关于流变学中平台模量的一些问题
已经有7人回复
关于应力松弛-链段的伸展与回复
已经有15人回复
有关再结晶分数的确定问题
已经有21人回复
【求助】求流变达人帮忙分析一下流变图 谢谢
已经有12人回复
【求助】旋转流变仪测试的是什么粘度?
已经有6人回复
【求助】拉伸流变仪
已经有4人回复
【求助】铝合金高温流变性能【图】
已经有26人回复
2楼2014-11-29 15:05:38













回复此楼
10