版块导航
正在加载中...
客户端APP下载
论文辅导
申博辅导
登录
注册
帖子
帖子
用户
本版
应《网络安全法》要求,自2017年10月1日起,未进行实名认证将不得使用互联网跟帖服务。为保障您的帐号能够正常使用,请尽快对帐号进行手机号验证,感谢您的理解与支持!
24小时热门版块排行榜
>
论坛更新日志
(3121)
>
文献求助
(181)
>
虫友互识
(161)
>
导师招生
(139)
>
教师之家
(102)
>
硕博家园
(57)
>
考博
(47)
>
招聘信息布告栏
(40)
>
休闲灌水
(38)
>
考研
(35)
>
公派出国
(32)
>
绿色求助(高悬赏)
(29)
>
论文投稿
(28)
>
博后之家
(27)
>
基金申请
(27)
>
留学DIY
(15)
小木虫论坛-学术科研互动平台
»
计算模拟区
»
计算模拟
»
matlab蒙特卡罗模拟
2
1/1
返回列表
查看: 482 | 回复: 1
只看楼主
@他人
存档
新回复提醒
(忽略)
收藏
在APP中查看
haixing_1990
新虫
(初入文坛)
应助: 0
(幼儿园)
帖子: 2
在线: 3.1小时
虫号: 3254266
注册: 2014-06-04
[交流]
matlab蒙特卡罗模拟
已有1人参与
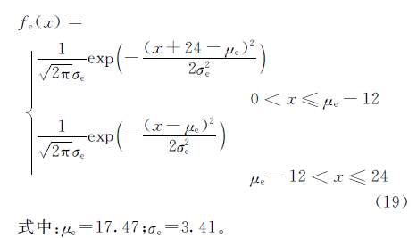
各位大侠,如何模拟服从分段的正态分布随机数啊?如下附件分布
XK@Y)7[BODI10~$Y~FY6ACB.jpg
回复此楼
» 猜你喜欢
投稿chemical physical letters不送审?
已经有2人回复
南开大学物理学院张书辉副教授招收凝聚态物理理论方向博士生、硕士生
已经有22人回复
物理学I论文润色/翻译怎么收费?
已经有164人回复
杂志要求提供official language-editing certificate
已经有4人回复
深圳大学2026年秋博士招生-物理学-活性胶体方向-高永祥课题组
已经有17人回复
论物质与能量的统一模型及物理现象解释
已经有0人回复
基于基元I统一理论的数学相关应用推导
已经有0人回复
基元I统一理论:宇宙本质、层级演化与修炼文明的本源规律
已经有1人回复
基元I理论下三大核心空间现象精准推导与细节解析
已经有0人回复
基于基元 I 统一理论的反重力理论推导
已经有0人回复
基于基元I统一理论的量子力学本源推导
已经有1人回复
高级回复
» 本主题相关价值贴推荐,对您同样有帮助:
求教如何用MATLAB在三维图中插入各散点的误差条
已经有6人回复
求回归方程参数的最优化算法matlab代码
已经有17人回复
matlab进行LBM(格子玻尔兹曼法)
已经有9人回复
mit 关于matlab的简单视频教程(6讲)
已经有95人回复
蒙特卡罗算法与matlab(精品教程)
已经有654人回复
如何将matlab限定在一个CPU核上运行
已经有12人回复
有人用蒙特卡洛方法做辐射传热的吗,求交流求帮助啊~
已经有14人回复
Ising Model 蒙特卡洛模拟 比热和磁化率曲线
已经有9人回复
matlab在概率统计中的计算
已经有76人回复
统计热力学以及计算机蒙特卡洛模拟教程
已经有441人回复
求助啊!求一程序,用matlab程序做,用蒙特卡洛方法模拟
已经有10人回复
简单的蒙特卡罗问题?(关于多孔介质的随机分形)
已经有3人回复
【求助】求如何学习monte carlo仿真
已经有7人回复
【求助】想买一个做蒙特卡洛模拟的软件
已经有4人回复
【转帖】动力学蒙卡方法(KMC)模拟薄膜生长的基本知识
已经有11人回复
【求助】帮忙蒙特卡罗原理
已经有4人回复
【转帖】蒙特卡罗算法计算圆周率
已经有12人回复
【求助】随机数的生成
已经有9人回复
【资源】Matlab编程基础及应用(视频教程)
已经有50人回复
1楼
2014-06-14 12:22:25
已阅
回复此楼
关注TA
给TA发消息
送TA红花
TA的回帖
小电气混蛋
新虫
(初入文坛)
应助: 0
(幼儿园)
金币: 10.5
帖子: 1
在线: 1.2小时
虫号: 3869924
注册: 2015-05-14
专业: 电力系统
★
小木虫: 金币+0.5, 给个红包,谢谢回帖
请问楼主找到这个程序了吗?可不可以分享下
赞
一下
(1人)
回复此楼
2楼
2015-05-14 19:55:39
已阅
回复此楼
关注TA
给TA发消息
送TA红花
TA的回帖
相关版块跳转
第一性原理
量子化学
计算模拟
分子模拟
仿真模拟
程序语言
我要订阅楼主
haixing_1990
的主题更新
2
1/1
返回列表
如果回帖内容含有宣传信息,请如实选中。否则帐号将被全论坛禁言
普通表情
龙
兔
虎
猫
高级回复
(可上传附件)
百度网盘
|
360云盘
|
千易网盘
|
华为网盘
在新窗口页面中打开自己喜欢的网盘网站,将文件上传后,然后将下载链接复制到帖子内容中就可以了。
信息提示
关闭
请填处理意见
关闭
确定