±±¾©Ê¯ÓÍ»¯¹¤Ñ§Ôº2026ÄêÑо¿ÉúÕÐÉú½ÓÊÕµ÷¼Á¹«¸æ
²é¿´: 520  |  »Ø¸´: 2

kingflint

ľ³æ (СÓÐÃûÆø)

[ÇóÖú] Óиö³¬¼¶µçÈÝ·½ÃæµÄÎÊÌâÇó½Ì

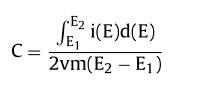
Óиö¹ØÓÚ³¬¼¶µçÈÝÀûÓÃÑ­»··ü°²·¨ÇóµçÈݵÄÎÊÌ⣬ÎÒÏëÎÊÒ»ÏÂÕâ¸öµçÈݹ«Ê½¸ÃÔõô½âÊÍ ¿´²»¶® ¿´×Å·Ö×ÓÓ¦¸ÃÊÇÇúÏßΧ³ÉµÄÃæ»ý·Öĸ²»ÖªÊÇʲô »¹Çë´óÉñ ¶Ô¸Ã¹«Ê½µÄ½âÊÍһϠÆäÖÐi£¨E£©±íʾ˲ʱµçÁ÷ E±íʾµçѹ vÊÇɨËÙ mÊÇÖÊÁ¿

Óиö³¬¼¶µçÈÝ·½ÃæµÄÎÊÌâÇó½Ì
ͼÐÎ.jpg


Óиö³¬¼¶µçÈÝ·½ÃæµÄÎÊÌâÇó½Ì-1
¹«Ê½.jpg
»Ø¸´´ËÂ¥

» ²ÂÄãϲ»¶

» ±¾Ö÷ÌâÏà¹ØÉ̼ÒÍÆ¼ö: (ÎÒÒ²ÒªÔÚÕâÀïÍÆ¹ã)

» ±¾Ö÷ÌâÏà¹Ø¼ÛÖµÌùÍÆ¼ö£¬¶ÔÄúͬÑùÓаïÖú:

¼á³Ö¾ÍÊÇʤÀû
ÒÑÔÄ   »Ø¸´´ËÂ¥   ¹Ø×¢TA ¸øTA·¢ÏûÏ¢ ËÍTAºì»¨ TAµÄ»ØÌû

fengyeruge

Òø³æ (ÖøÃûдÊÖ)

crazy

Õâ¸ö×Ô¼ºÍƵ¼Ò»Ï¾ͳöÀ´ÁË£¬¡ÒIdt=Q£¬C(E1-E2)=Q£¬ C=¡ÒIdt/(E1-E2), ÆäÖÐdE=dt*v£¬´ú½øÈ¥¾ÍÊÇC=¡ÒIdE/v*(E1-E2),Õâ¾ÍÊǹ«Ê½µÄÔ­ÐÍ£¬ÔÙ³ýÒÔÖÊÁ¿¾ÍÊǵ¥Î»ÖÊÁ¿µÄµçÈÝ£¬³ýÒÔ2ÊÇÒòΪÕâÊǸö¶Ô³ÆµçÈÝ¡£
Whenindoubt,moveforward!
2Â¥2014-07-11 00:19:42
ÒÑÔÄ   »Ø¸´´ËÂ¥   ¹Ø×¢TA ¸øTA·¢ÏûÏ¢ ËÍTAºì»¨ TAµÄ»ØÌû

kingflint

ľ³æ (СÓÐÃûÆø)

ÒýÓûØÌû:
2Â¥: Originally posted by fengyeruge at 2014-07-11 00:19:42
Õâ¸ö×Ô¼ºÍƵ¼Ò»Ï¾ͳöÀ´ÁË£¬¡ÒIdt=Q£¬C(E1-E2)=Q£¬ C=¡ÒIdt/(E1-E2), ÆäÖÐdE=dt*v£¬´ú½øÈ¥¾ÍÊÇC=¡ÒIdE/v*(E1-E2),Õâ¾ÍÊǹ«Ê½µÄÔ­ÐÍ£¬ÔÙ³ýÒÔÖÊÁ¿¾ÍÊǵ¥Î»ÖÊÁ¿µÄµçÈÝ£¬³ýÒÔ2ÊÇÒòΪÕâÊǸö¶Ô³ÆµçÈÝ¡£

ÎÊÌâÒѾ­½â¾öÁË »¹ÊÇҪллÄã
¼á³Ö¾ÍÊÇʤÀû
3Â¥2014-07-16 16:35:52
ÒÑÔÄ   »Ø¸´´ËÂ¥   ¹Ø×¢TA ¸øTA·¢ÏûÏ¢ ËÍTAºì»¨ TAµÄ»ØÌû
Ïà¹Ø°æ¿éÌø×ª ÎÒÒª¶©ÔÄÂ¥Ö÷ kingflint µÄÖ÷Ìâ¸üÐÂ
×î¾ßÈËÆøÈÈÌûÍÆ¼ö [²é¿´È«²¿] ×÷Õß »Ø/¿´ ×îºó·¢±í
[¿¼ÑÐ] 085600²ÄÁÏÓ뻯¹¤301·ÖÇóµ÷¼ÁԺУ +14 ´ÌÍ´jk 2026-04-06 15/750 2026-04-06 11:57 by lijunpoly
[¿¼ÑÐ] ²ÄÁÏר˶(0856) 339·ÖÇóµ÷¼Á +10 ¹þ¹þ¹þ¶ì¹þ¹þ¹þ 2026-04-05 10/500 2026-04-06 09:35 by jp9609
[¿¼ÑÐ] 277Çóµ÷¼Á ÊýÒ»104·Ö +6 Æ¿×ÓPZ 2026-04-05 6/300 2026-04-05 20:38 by à£à£à£0119
[¿¼ÑÐ] ²ÄÁϵ÷¼Á +13 Ò»ÑùYWY 2026-04-03 14/700 2026-04-05 18:20 by À¶ÔÆË¼Óê
[¿¼ÑÐ] 085500»úеר˶³õÊÔ288Çóµ÷¼Á +3 GZJguo666- 2026-04-05 3/150 2026-04-05 18:06 by jkddd
[¿¼ÑÐ] 283Çóµ÷¼Á +10 A child 2026-04-04 10/500 2026-04-05 08:22 by qlm5820
[¿¼ÑÐ] 313Çóµ÷¼Á +3 º£ÈÕº£ÈÕ 2026-04-04 3/150 2026-04-05 07:48 by 544594351
[¿¼ÑÐ] ±¾¿Æ211 ·ÖÊý293ÇëÇóµ÷¼Á +4 Á«²Ë¾ÍÊÇź°É 2026-04-01 4/200 2026-04-04 22:32 by hemengdong
[¿¼ÑÐ] ¿É¿çרҵµ÷¼Á +3 ÖÜµÄµÃµØ 2026-04-04 6/300 2026-04-04 22:21 by barlinike
[¿¼ÑÐ] Çóµ÷¼Á +4 êɹ¦? 2026-04-03 4/200 2026-04-04 21:58 by hemengdong
[¿¼ÑÐ] 293·ÖÇóµ÷¼Á£¬ÍâÓïΪ¶íÓï +6 ¼ÓÒ»Ò»¾Å 2026-03-31 6/300 2026-04-04 14:57 by ´ÏÃ÷µÄ´óËÉÊó
[¿¼ÑÐ] ÔõôɾÌû×Ó°¡ +3 ·ìêØ1000 2026-04-04 3/150 2026-04-04 14:20 by ÍÁľ˶ʿÕÐÉú
[¿¼ÑÐ] ÉúÎïѧ308·ÖÇóµ÷¼Á£¨Ò»Ö¾Ô¸»ª¶«Ê¦´ó£© +7 ÏàÐűػá¹ââÍòÕ 2026-04-02 7/350 2026-04-03 16:48 by rzh123456
[¿¼ÑÐ] 303Çóµ÷¼Á +3 һɫÇåÓð 2026-04-02 4/200 2026-04-03 10:22 by À¶ÔÆË¼Óê
[¿¼ÑÐ] ²ÄÁÏ»¯¹¤340Çóµ÷¼Á +5 jhx777 2026-03-30 5/250 2026-04-02 12:45 by smileboy2006
[¿¼ÑÐ] Ò»Ö¾Ô¸±±½»´ó²ÄÁϹ¤³Ì£¬×Ü·Ö358 +4 cs0106 2026-04-01 4/200 2026-04-02 07:42 by ÉÐË®¸óÖ÷
[¿¼ÑÐ] »¯Ñ§¹¤³Ìר˶324·Ö£¬Ò»Ö¾Ô¸Öйú¿óÒµ´óѧÇóµ÷¼Á +7 ¹¢¹¢1314 2026-04-01 7/350 2026-04-02 07:40 by ÉÐË®¸óÖ÷
[¿¼ÑÐ] 085600 Ò»Ö¾Ô¸9 ×Ü·Ö351 Çóµ÷¼ÁѧУ +7 czhcz 2026-03-31 9/450 2026-04-01 19:24 by Î޼ʵIJÝÔ­
[¿¼ÑÐ] 070300»¯Ñ§×¨Òµ279µ÷¼Á +10 ¹þ¹þ¹þ^_^ 2026-03-31 10/500 2026-03-31 23:13 by liu823948201
[¿¼ÑÐ] Ò»Ö¾Ô¸´óÁ¬Àí¹¤´óѧ£¬»úе¹¤³Ìѧ˶£¬341 +3 Î÷¹ÏÌïµÄÊØÍûÕß 2026-03-30 3/150 2026-03-31 11:08 by asdfzly
ÐÅÏ¢Ìáʾ
ÇëÌî´¦ÀíÒâ¼û