| ²é¿´: 212 | »Ø¸´: 2 | ||
zacaduoÌú³æ (ÖøÃûдÊÖ)
|
[ÇóÖú]
ÇóÖú£º°ïÃ¦ÍÆÀíһƪÎÄÕÂÀïµÄÊýѧʽ×Ó£¬80½ð±Ò£¡
|
|
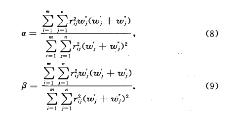
ÎÄÕ±êÌ⣺¡¶»ùÓÚÖ÷¿Í¹Û¼ÓȨÊôÐÔÖµÒ»Ö»¯µÄ×éºÏ¸³È¨·¨¡· ÎÊ Ì⣺µÚ¶þÕÅͼµ½µÚÈýÕÅͼ֮¼äµÄÍÆÀí¹ý³ÌÊÇÔõÑùµÄ£¿ ![]() ![]() н¨Î»Í¼Í¼Ïñ.png w413h598728_1401877423_667.png w214h598728_1401877453_358.png |
» ²ÂÄãϲ»¶
290µ÷¼ÁÉúÎï0860
ÒѾÓÐ16È˻ظ´
²ÄÁÏÓ뻯¹¤300Çóµ÷¼Á
ÒѾÓÐ39È˻ظ´
Çóµ÷¼Á
ÒѾÓÐ19È˻ظ´
²ÄÁϹ¤³ÌÈÕÓÉúÇóµ÷¼Á
ÒѾÓÐ6È˻ظ´
µ÷¼ÁÇóÊÕÁô
ÒѾÓÐ21È˻ظ´
Çóµ÷¼Á£¬985²ÄÁÏÓ뻯¹¤348·Ö
ÒѾÓÐ6È˻ظ´
266Çóµ÷¼Á£¬Ò»Ö¾Ô¸¹þ¹¤³Ìµç×ÓÐÅÏ¢£¬±¾¿Æ»ñ¶àÏî¹ú½±ºÍÊ¡½±
ÒѾÓÐ8È˻ظ´
271Çóµ÷¼Á
ÒѾÓÐ19È˻ظ´
270Çóµ÷¼Á
ÒѾÓÐ11È˻ظ´
²ÄÁϹ¤³Ì281»¹Óе÷¼Á»ú»áÂð
ÒѾÓÐ12È˻ظ´
» ±¾Ö÷ÌâÏà¹Ø¼ÛÖµÌùÍÆ¼ö£¬¶ÔÄúͬÑùÓаïÖú:
Çë½ÌÏÂÏßÐÔϵͳµÄÊä³ö¾ØÕóCµÄÂúÖÈÎÊÌâ
ÒѾÓÐ15È˻ظ´
zacaduo
Ìú³æ (ÖøÃûдÊÖ)
- Ó¦Öú: 36 (СѧÉú)
- ½ð±Ò: 2490.7
- É¢½ð: 607
- ºì»¨: 7
- Ìû×Ó: 1272
- ÔÚÏß: 1236.4Сʱ
- ³æºÅ: 598728
- ×¢²á: 2008-09-10
- רҵ: µç´Å»·¾³Óëµç´Å¼æÈÝ
2Â¥2014-06-05 09:42:47
zacaduo
Ìú³æ (ÖøÃûдÊÖ)
- Ó¦Öú: 36 (СѧÉú)
- ½ð±Ò: 2490.7
- É¢½ð: 607
- ºì»¨: 7
- Ìû×Ó: 1272
- ÔÚÏß: 1236.4Сʱ
- ³æºÅ: 598728
- ×¢²á: 2008-09-10
- רҵ: µç´Å»·¾³Óëµç´Å¼æÈÝ
3Â¥2014-06-05 11:55:15















»Ø¸´´ËÂ¥