| 查看: 653 | 回复: 3 | ||
[交流]
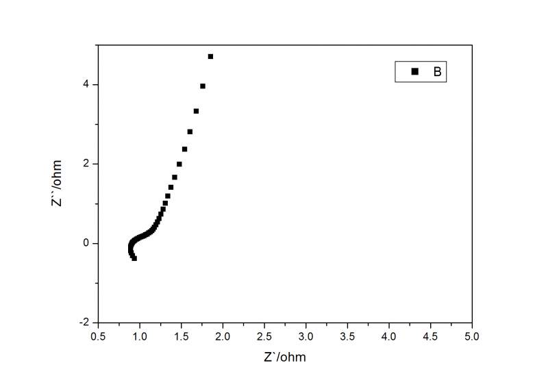
超级电容器材料的交联阻抗图出现问题 已有1人参与
|
» 本主题相关价值贴推荐,对您同样有帮助:
超级电容器交流阻抗分析交流
已经有5人回复
超级电容器阻抗测试
已经有4人回复
利用电化学阻抗如何计算超级电容器比容量
已经有7人回复
超级电容器阻抗谱
已经有8人回复
超级电容器交流阻抗曲线出来之后如何算具体的数值
已经有3人回复
大家 电池超级电容器 恒电流,循环伏安,阻抗 测试 是什么次序?
已经有6人回复
电化学方法制作超级电容器二氧化锰电极,循环伏安和交流阻抗曲线分析
已经有10人回复
hyt365dn
木虫 (正式写手)
- 应助: 123 (高中生)
- 金币: 2833.7
- 散金: 124
- 红花: 8
- 帖子: 624
- 在线: 905.8小时
- 虫号: 2199707
- 注册: 2012-12-21
- 专业: 电化学
2楼2014-05-28 19:58:18
3楼2014-05-30 17:00:48
hyt365dn
木虫 (正式写手)
- 应助: 123 (高中生)
- 金币: 2833.7
- 散金: 124
- 红花: 8
- 帖子: 624
- 在线: 905.8小时
- 虫号: 2199707
- 注册: 2012-12-21
- 专业: 电化学
4楼2014-05-30 17:25:55













回复此楼