| ²é¿´: 1219 | »Ø¸´: 3 | ||
DNA1215ͳæ (СÓÐÃûÆø)
|
[ÇóÖú]
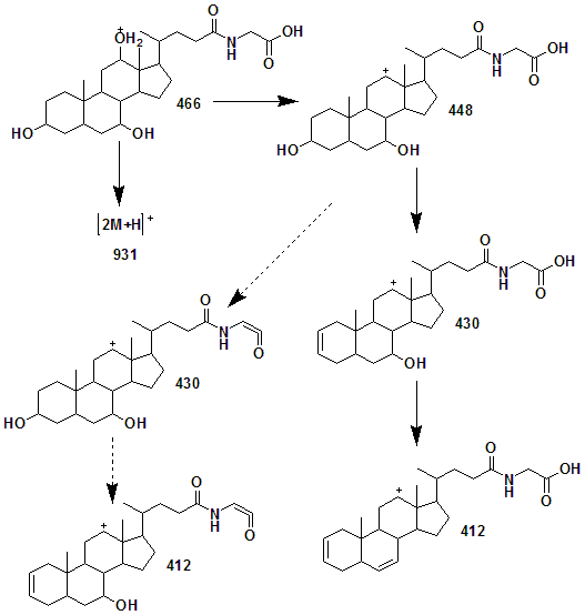
¸Ê°±µ¨ËáLC-MSͼÇó½âÎöлл¸÷λ´óϺ
|
|
ÇóÖú¸÷λÀÏʦ£¬ÇëÎÊÎÒµÄLCMSÀïÓиʰ±µ¨ËáµÄ·Ö×ÓÁ¿Âð£¿ÀïÃæÔÓÖÊÇé¿öÈçºÎ£¿£¿·Ç³£¸Ðл~ ½á¹¹Ê½1.png ·Ö×ÓÁ¿.png 4.png 1.png 2.png 3.png |
» ²ÂÄãϲ»¶
Çóµ÷¼Á
ÒѾÓÐ3È˻ظ´
Ò»Ö¾Ô¸±±¾©»¯¹¤´óѧ£¬³õÊԳɼ¨350Çóµ÷¼Á
ÒѾÓÐ14È˻ظ´
¸´ÊÔµ÷¼Á
ÒѾÓÐ4È˻ظ´
323·Ö£¨¼ÆËã»úÊÓ¾õºÍ´óÄ£ÐÍÏîÄ¿£©ÄÜÖ±½ÓÉÏÊÖ
ÒѾÓÐ3È˻ظ´
311·Ö 22408 Çóµ÷¼Á
ÒѾÓÐ3È˻ظ´
320·ÖÈ˹¤ÖÇÄܵ÷¼Á
ÒѾÓÐ7È˻ظ´
Ò»Ö¾Ô¸Ö£´ó0705Çóµ÷¼Á
ÒѾÓÐ4È˻ظ´
0703»¯Ñ§
ÒѾÓÐ10È˻ظ´
301Çóµ÷¼Á
ÒѾÓÐ10È˻ظ´
306·Ö²ÄÁÏÓ뻯¹¤Çóµ÷¼Á
ÒѾÓÐ6È˻ظ´
» ±¾Ö÷ÌâÏà¹ØÉ̼ÒÍÆ¼ö: (ÎÒÒ²ÒªÔÚÕâÀïÍÆ¹ã)
» ±¾Ö÷ÌâÏà¹Ø¼ÛÖµÌùÍÆ¼ö£¬¶ÔÄúͬÑùÓаïÖú:
LC-MSÆ×ͼ·ÖÎö
ÒѾÓÐ4È˻ظ´
LC-MSÇóÖú£¬ÈçºÎ¿´ÖÊÆ×ͼÉϵķÖ×ÓÁ¿
ÒѾÓÐ15È˻ظ´
¡¾ÇóÖú¡¿¹ØÓÚLC-MSÆ×ͼÀïµÄTICÆ×ͼ
ÒѾÓÐ4È˻ظ´
´úл LC-MSMSÖÊÆ×ͼÎÊÌâ
ÒѾÓÐ5È˻ظ´
ÇóÖúLC-MS-MS¶¨Á¿ÎÊÌâ
ÒѾÓÐ9È˻ظ´
ÐóÇÝÈâÖÐÇàÃ¹ËØÀà¡¢»Ç°·Àà¡¢ËÄ»·ËØÀàLC-MS/MS¼ì²âµÄǰ´¦Àí·½·¨£¬Ïò´ó¼ÒÇóÖú¾Ñé·ÖÏí
ÒѾÓÐ13È˻ظ´
LC-MS/MSͼÀïNLÊÇʲôµÄËõд
ÒѾÓÐ4È˻ظ´
¼±Çólc-msÔÚÒ©ÎïºÏ³ÉÉϵÄÓ¦Óã¬È«Ó¢ÎÄppt
ÒѾÓÐ7È˻ظ´
¡¾ÇóÖú¡¿´Æ¶þ´¼ ´ÆÈý´¼ ´ÆÍª LC-MSµÄ²â¶¨·½·¨
ÒѾÓÐ11È˻ظ´
ÇóLC-MS/MS ESI ¸ºÀë×Ó³£ÓÃÄÚ±ê
ÒѾÓÐ10È˻ظ´
лл£¬Ê²Ã´½ÐICP MS¡¢LC MS¡¢GC MSµÄ¼ÇÒäЧӦ£¬Çó½âÊÍ£¡
ÒѾÓÐ7È˻ظ´
¡¾ÇóÖú¡¿lc-ms/ms·½·¨½éÉÜ£¬¶¨Á¿ÔÀí
ÒѾÓÐ9È˻ظ´
¡¾ÇóÖú¡¿ÇóÖú£¬LC-MS²»³ö·å
ÒѾÓÐ23È˻ظ´
¡¾ÇóÖú¡¿Agilent LCMS ÒºÏàͼÓëÖÊÆ×ͼ³ö·åʱ¼ä
ÒѾÓÐ7È˻ظ´
¡¾ÇóÖú¡¿Óùýwaters LC-MSµÄÇë½ø
ÒѾÓÐ14È˻ظ´

wy19871124
гæ (Ö°Òµ×÷¼Ò)
ÖÊÆ×Ê×ϯ¹ËÎÊ
- ACI: 2
- Ó¦Öú: 551 (²©Ê¿)
- ½ð±Ò: 1607.6
- É¢½ð: 959
- ºì»¨: 183
- Ìû×Ó: 3052
- ÔÚÏß: 447.4Сʱ
- ³æºÅ: 1593016
- ×¢²á: 2012-01-31
- ÐÔ±ð: GG
- רҵ: ÖÊÆ×·ÖÎö
2Â¥2014-05-23 19:13:59
DNA1215
ͳæ (СÓÐÃûÆø)
- Ó¦Öú: 0 (Ó×¶ùÔ°)
- ½ð±Ò: 138.5
- Ìû×Ó: 105
- ÔÚÏß: 8.9Сʱ
- ³æºÅ: 663980
- ×¢²á: 2008-11-28
- ÐÔ±ð: GG
- רҵ: Ò©Îﻯѧ

3Â¥2014-05-26 09:54:10
zzh0516
гæ (³õÈëÎÄ̳)
- Ó¦Öú: 0 (Ó×¶ùÔ°)
- ½ð±Ò: 3.5
- Ìû×Ó: 3
- ÔÚÏß: 2.3Сʱ
- ³æºÅ: 4515666
- ×¢²á: 2016-03-17
- ÐÔ±ð: MM
- רҵ: ΢ÉúÎïÉúÀíÓëÉúÎﻯѧ
4Â¥2018-12-18 13:22:34














»Ø¸´´ËÂ¥