24小时热门版块排行榜    

查看: 402  |  回复: 0

672496347

新虫 (初入文坛)

[求助] 关于李普希茨连续性------请好心大神帮下忙

最近看一篇文献
理论部分假设:对于任意节点i,其位置向量记为pi=[xi yi]T,其所受邻居节点j的虚拟力向量记为fij=[fij,x fij,y]T,两节点的作用力fij符合李普希次连续性,即存在常数C>0,使下式成立。
关于李普希茨连续性------请好心大神帮下忙

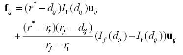
仿真时:文章给出作用力模型符合下式,问为什么C值可以简单的定为  (根号2)?(the constant C can be easily verified to be 根号2) 理论推导或者逻辑说明皆可!
关于李普希茨连续性------请好心大神帮下忙-1

其中,r*=22, rt=24, rf=26
关于李普希茨连续性------请好心大神帮下忙-2
回复此楼

» 猜你喜欢

已阅   回复此楼   关注TA 给TA发消息 送TA红花 TA的回帖
相关版块跳转 我要订阅楼主 672496347 的主题更新
最具人气热帖推荐 [查看全部] 作者 回/看 最后发表
[考研] 285求调剂 +6 ytter 2026-03-22 6/300 2026-03-22 12:09 by 星空星月
[考研] 085600材料与化工306 +4 z1z2z3879 2026-03-21 4/200 2026-03-21 23:44 by ms629
[考研] 286求调剂 +10 Faune 2026-03-21 10/500 2026-03-21 23:34 by 314126402
[考研] 工科0856求调剂 +3 沐析汀汀 2026-03-21 3/150 2026-03-21 18:30 by 学员8dgXkO
[考研] 材料 271求调剂 +5 展信悦_ 2026-03-21 5/250 2026-03-21 17:29 by 学员8dgXkO
[考研] 299求调剂 +4 某某某某位 2026-03-21 4/200 2026-03-21 16:30 by barlinike
[考研] 268求调剂 +9 简单点0 2026-03-17 9/450 2026-03-21 15:37 by lature00
[考研] 279求调剂 +5 红衣隐官 2026-03-21 5/250 2026-03-21 14:59 by lature00
[考研] 332求调剂 +3 凤凰院丁真 2026-03-20 3/150 2026-03-21 10:27 by luoyongfeng
[考研] 316求调剂 +6 梁茜雯 2026-03-19 6/300 2026-03-21 06:32 by Ecowxq666!
[考研] 一志愿山大07化学 332分 四六级已过 本科山东双非 求调剂! +3 不想理你 2026-03-16 3/150 2026-03-21 03:59 by JourneyLucky
[考研] 机械专硕299求调剂至材料 +3 kkcoco25 2026-03-16 4/200 2026-03-21 03:52 by JourneyLucky
[考研] 307求调剂 +3 wyyyqx 2026-03-17 3/150 2026-03-21 03:20 by JourneyLucky
[考研] 材料专硕英一数二306 +7 z1z2z3879 2026-03-18 7/350 2026-03-20 23:48 by JourneyLucky
[考研] 考研调剂求学校推荐 +3 伯乐29 2026-03-18 5/250 2026-03-20 22:59 by JourneyLucky
[考研] 08工学调剂 +5 用户573181 2026-03-20 5/250 2026-03-20 15:47 by xia_2003
[考研] 281求调剂(0805) +14 烟汐忆海 2026-03-16 25/1250 2026-03-20 15:47 by yuncha
[考研] 288求调剂,一志愿华南理工大学071005 +5 ioodiiij 2026-03-17 5/250 2026-03-19 18:22 by zcl123
[考研] 材料与化工求调剂 +7 为学666 2026-03-16 7/350 2026-03-19 14:48 by 尽舜尧1
[论文投稿] 有没有大佬发小论文能带我个二作 +3 增锐漏人 2026-03-17 4/200 2026-03-17 09:26 by xs74101122
信息提示
请填处理意见