| 查看: 396 | 回复: 3 | |
[求助]
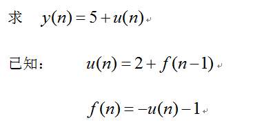
这个能求吗? 已有1人参与
|
|
|
|
|
![]() |
|
|
2楼2014-05-18 23:07:14
|
|
|
3楼2014-05-19 11:30:34
|
|
![]() |
|
|
4楼2014-05-19 14:04:33
|
|














回复此楼
