24小时热门版块排行榜    

北京石油化工学院2026年研究生招生接收调剂公告
查看: 1030  |  回复: 0

苏瞬尘

铜虫 (初入文坛)

[求助] PDE方程中有两个未知量怎么解啊?求大神讲解

PDE方程中有两个未知量怎么解啊?求大神讲解
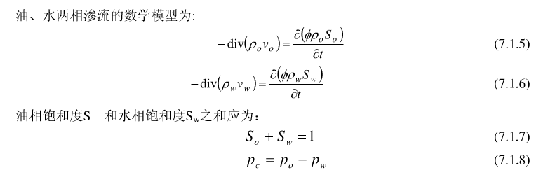
油水两相渗流里,饱和度和速度都是未知项,怎么用PDE方程设置呢?
求指点……
回复此楼

» 猜你喜欢

已阅   回复此楼   关注TA 给TA发消息 送TA红花 TA的回帖

智能机器人

Robot (super robot)

我们都爱小木虫

找到一些相关的精华帖子,希望有用哦~

科研从小木虫开始,人人为我,我为人人
相关版块跳转 我要订阅楼主 苏瞬尘 的主题更新
最具人气热帖推荐 [查看全部] 作者 回/看 最后发表
[考研] 化学调剂求助 +6 LULONG1 2026-04-03 6/300 2026-04-03 23:13 by qzxyhcsy
[考研] 材料295 +11 小英11 2026-04-03 12/600 2026-04-03 22:35 by S240
[考研] 调剂 +8 JLLLLLLLLLL 2026-04-03 8/400 2026-04-03 22:06 by 无际的草原
[考研] 一志愿郑州大学材料与化工085600,求调剂 +17 吃的不少 2026-04-02 17/850 2026-04-03 21:48 by qlm5820
[考研] 319求调剂 +3 星星不眨眼喽 2026-04-03 3/150 2026-04-03 21:45 by zhq0425
[考研] 化学308分调剂 +21 你好明天你好 2026-03-30 22/1100 2026-04-03 21:32 by 百灵童888
[考研] 343求调剂085601 +6 要努力学习x 2026-03-29 7/350 2026-04-03 19:49 by 百灵童888
[考研] 五邑大学土木工程招调剂生2026 +3 wyutj 2026-03-31 4/200 2026-04-03 18:21 by zengxj_7201
[考研] 工科341分调剂 +3 洛多罗 2026-04-03 3/150 2026-04-03 14:20 by 1753564080
[基金申请] 请问共同通讯和共同一作的认可度问题 10+4 psa1234 2026-04-01 10/500 2026-04-03 11:08 by Kittylucky
[考研] 071000生物学调剂 +8 知昭蔓 2026-04-02 8/400 2026-04-03 10:36 by macy2011
[考研] 298分 070300求调剂 +11 zwen03 2026-04-02 11/550 2026-04-03 10:19 by macy2011
[考研] 279求调剂 +6 qazplm0852 2026-04-02 6/300 2026-04-03 10:03 by 蓝云思雨
[考研] 材料调剂 +7 一样YWY 2026-04-02 7/350 2026-04-02 21:49 by dongzh2009
[硕博家园] 考研调剂 +5 骆驼男人 2026-04-01 5/250 2026-04-01 14:28 by syjjj0321
[考研] 一志愿南昌大学324求调剂 +7 hanamiko 2026-03-30 7/350 2026-04-01 13:22 by JourneyLucky
[考研] 材料调剂 +11 一样YWY 2026-03-31 11/550 2026-04-01 11:35 by wangjy2002
[考研] 材料调剂 +10 Eujd1 2026-03-31 11/550 2026-04-01 11:23 by ivanqyq
[考研] 083000环境科学与工程调剂,总分281 +4 橙子(胜意) 2026-03-30 4/200 2026-03-31 00:44 by Linzejun
[考研] 调剂 +4 GK72 2026-03-30 4/200 2026-03-30 20:32 by dick_runner
信息提示
请填处理意见