| ²é¿´: 9567 | »Ø¸´: 3 | |||
ccchn¾èÖú¹ó±ö (СÓÐÃûÆø)
|
[ÇóÖú]
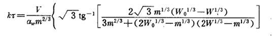
tg-1ÊÇʲôÒâ˼°¡£¿
|
|
¿´Ò»±¾¹¤¾ßÊ飬¹«Ê½ÖÐÓÐtg-1(x)£¬ÆäÖÐ-1ÊÇÉϱꡣ±íʾtg(x)µÄµ¹ÊýÂ𣿻¹ÊÇ·´Èý½Çº¯Êý£¿ºÃÏñ¶¼²»¶Ô°¡£¬Çë¸÷λָµã¡£ snap.jpg |
» ²ÂÄãϲ»¶
±±¿Æ281ѧ˶²ÄÁÏÇóµ÷¼Á
ÒѾÓÐ3È˻ظ´
AÇøÏß²ÄÁÏѧµ÷¼Á
ÒѾÓÐ3È˻ظ´
319Çóµ÷¼Á
ÒѾÓÐ3È˻ظ´
085700×ÊÔ´Óë»·¾³308Çóµ÷¼Á
ÒѾÓÐ12È˻ظ´
265Çóµ÷¼Á
ÒѾÓÐ10È˻ظ´
Ò»Ö¾Ô¸¼ªÁÖ´óѧ²ÄÁÏѧ˶321Çóµ÷¼Á
ÒѾÓÐ15È˻ظ´
0703»¯Ñ§µ÷¼Á £¬Áù¼¶Òѹý£¬ÓпÆÑоÀú
ÒѾÓÐ13È˻ظ´
Çóµ÷¼Á
ÒѾÓÐ3È˻ظ´
261ÇóBÇøµ÷¼Á£¬¿ÆÑоÀú·á¸»
ÒѾÓÐ4È˻ظ´
Çóµ÷¼Á
ÒѾÓÐ3È˻ظ´
» ±¾Ö÷ÌâÏà¹Ø¼ÛÖµÌùÍÆ¼ö£¬¶ÔÄúͬÑùÓаïÖú:
ÕâÊÇʲôÒâ˼°¡£¿ÎÒÐèÒªÔÙͶô?
ÒѾÓÐ5È˻ظ´
ÇëÎÊÀÏʦÕâô»Ø¸´ÊÇʲôÒâ˼°¡£¿
ÒѾÓÐ6È˻ظ´
ÕâÊÇʲôÒâ˼°¡£¿
ÒѾÓÐ3È˻ظ´
ÊÖÐÔ´«µÝÊÇʲôÒâ˼°¡£¿Çó½Ì~
ÒѾÓÐ3È˻ظ´
proofÊÇʲô°¡ Õâ·âÓʼþÊÇʲôÒâ˼°¡
ÒѾÓÐ7È˻ظ´
´ß»¯ÌåϵÊ컯ÊÇʲôÒâ˼°¡£¿
ÒѾÓÐ17È˻ظ´
N NaOHÊÇʲôÒâ˼°¡
ÒѾÓÐ8È˻ظ´
Ͷ¸åstatusÊÇFINALIZEDÊÇʲôÒâ˼°¡£¿
ÒѾÓÐ7È˻ظ´
ÇëÎÊ´ó¼Ò£º¡°Íø¿¯Ç©·¢¡±ÊÇʲôÒâ˼°¡£¿
ÒѾÓÐ4È˻ظ´
µÈ´ýÖ¸¶¨±à¼ÊÇʲôÒâ˼°¡
ÒѾÓÐ7È˻ظ´
´Î¼¶½á¹¹µ¥Ôªµ½µ×ÊÇʲôÒâ˼°¡
ÒѾÓÐ8È˻ظ´
¸÷λÐֵܰïÏÂæ, ¸æËßÎÒһϠͶ¸å״̬µÄ"Draft"ÊÇʲôÒâ˼°¡?
ÒѾÓÐ6È˻ظ´
electron-localization functionÊÇʲôÒâ˼°¡£¿
ÒѾÓÐ7È˻ظ´
van der Drift ÕâÊÇʲôÒâ˼°¡
ÒѾÓÐ5È˻ظ´
ÇóÖúÕâ»ØÐÅÊÇʲôÒâ˼°¡
ÒѾÓÐ11È˻ظ´
ÕâÖÖÉó¸åÒâ¼ûÊÇʲôÒâ˼°¡£¿Ôõô»Ø¸´ºÃŶ
ÒѾÓÐ41È˻ظ´
ÇóÖú°¡£¬SCIÐÞ¸åºóÒ»ÔÂÓÐÓ࣬ѯÎʱ༣¬¸øÁËÒ»·â»ØÐÅ£¬´ó¼Ò°ïæ¿´Ò»ÏÂÊÇʲôÒâ˼°¡
ÒѾÓÐ24È˻ظ´
¡¾ÇóÖú¡¿ÇëÎÊSFI¡ªapplicationÊÇʲôÒâ˼°¡£¿£¿
ÒѾÓÐ6È˻ظ´
¡¾ÇóÖú¡¿Õâ¸ù¼üÁ¬µ½±½»·ÖмäÊÇʲôÒâ˼°¡£¿
ÒѾÓÐ4È˻ظ´
Çë½ÌÕâ¸öcommentÊÇʲôÒâ˼°¡
ÒѾÓÐ11È˻ظ´
¡¾ÌÖÂÛ¡¿·Ö×ÓÁ¿·Ö²¼ÊÇʲôÒâ˼°¡
ÒѾÓÐ3È˻ظ´
²Î¿¼ÎÄÏ×Àï¼ÓdoiÊÇʲôÒâ˼°¡?
ÒѾÓÐ13È˻ظ´
feixiaolin
ÈÙÓþ°æÖ÷ (ÎÄ̳¾«Ó¢)
-

ר¼Ò¾Ñé: +518 - Ó¦Öú: 942 (²©ºó)
- ¹ó±ö: 1.275
- ½ð±Ò: 3430
- É¢½ð: 58785
- ºì»¨: 532
- ɳ·¢: 11
- Ìû×Ó: 24215
- ÔÚÏß: 2601.8Сʱ
- ³æºÅ: 2139575
- ×¢²á: 2012-11-21
- רҵ: ¹âѧÐÅÏ¢»ñÈ¡Óë´¦Àí
- ¹ÜϽ: Êýѧ
2Â¥2014-05-04 10:56:53
Edstrayer
°æÖ÷ (ÖøÃûдÊÖ)
·½´ç¶·ÊÒСÌìµØÕýÆøÃÔÂþ´óÊÀ½ç
- ÊýѧEPI: 7
- Ó¦Öú: 157 (¸ßÖÐÉú)
- ¹ó±ö: 0.927
- ½ð±Ò: 9349.6
- É¢½ð: 4503
- ºì»¨: 77
- ɳ·¢: 2
- Ìû×Ó: 2745
- ÔÚÏß: 1465.6Сʱ
- ³æºÅ: 3086598
- ×¢²á: 2014-03-25
- ¹ÜϽ: Êýѧ

3Â¥2014-05-04 11:42:42
peterflyer
ľ³æÖ®Íõ (ÎÄѧ̩¶·)
peterflyer
- ÊýѧEPI: 10
- Ó¦Öú: 20282 (Ժʿ)
- ½ð±Ò: 146160
- ºì»¨: 1374
- Ìû×Ó: 93091
- ÔÚÏß: 7694.3Сʱ
- ³æºÅ: 1482829
- ×¢²á: 2011-11-08
- ÐÔ±ð: GG
- רҵ: ¹¦ÄÜÌÕ´É
¡¾´ð°¸¡¿Ó¦Öú»ØÌû
¡ï ¡ï ¡ï ¡ï ¡ï ¡ï ¡ï ¡ï ¡ï ¡ï ¡ï ¡ï ¡ï ¡ï ¡ï
¸Ðл²ÎÓ룬ӦÖúÖ¸Êý +1
ccchn: ½ð±Ò+15, ¡ï¡ï¡ïºÜÓаïÖú, 7 2014-05-05 14:11:36
¸Ðл²ÎÓ룬ӦÖúÖ¸Êý +1
ccchn: ½ð±Ò+15, ¡ï¡ï¡ïºÜÓаïÖú, 7 2014-05-05 14:11:36
| ¿´Ñù×ÓÓ¦¸ÃÊÇ·´ÕýÇк¯Êý¡£µ«ÔÚ¹«Ê½ÖÐËÆºõÓÐЩÎÊÌ⣬·´Èý½Çº¯ÊýµÄÊýÖµ¾ùΪÎÞÁ¿¸ÙµÄ£¬µ«Õâ¸ö·´Èý½Çº¯ÊýµÄʽ×ÓÀïÃæËÆºõÁ¿¸ÙÓÐЩ»ìÂÒ¡£°´ÕÕ³£¹æ£¬·Ö×Ó·Öĸ¶¼Ó¦¸ÃÊÇm^(1/3)*W ^(1/3)²Å¶Ô¡£ |
4Â¥2014-05-04 12:59:25













»Ø¸´´ËÂ¥