| ²é¿´: 446 | »Ø¸´: 0 | ||
º«ÇçÌìгæ (³õÈëÎÄ̳)
|
[ÇóÖú]
¶àÏೡ·¨¿ØÖÆ·½³ÌÀëÉ¢
|
|
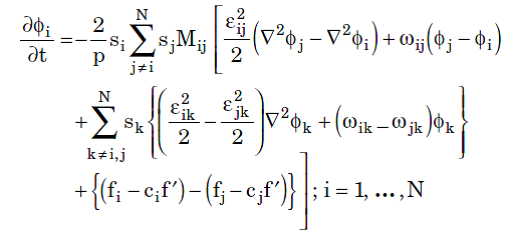
kks¶àÏೡ·¨ÖÐÒÔÉÏÊÇŨ¶È³¡ºÍÏೡµÄ¿ØÖÆ·½³Ì£¬²»ÖªµÀŨ¶È³¡ÖÐCiÔõô¼ÆËã°¡£¬»¹ÓÐŨ¶È³¡·½³ÌÔõôÀëɢĨ£¿Çë¸ßÊÖÖ¸½Ì°¡£¬ÎÄÏ×ÖÐÃèÊö¶¼²»Çå³þ£¬ÕÛÌںþû¹Ã»ÅªÃ÷°×¡£ 1.png 2.png |
» ²ÂÄãϲ»¶
·¨¹ú²©Ê¿ºóְλ
ÒѾÓÐ0È˻ظ´
ÖØÇì½»´ó26Äê˶ʿÉúÕÐÉúÄâµ÷¼Á֪ͨÒѳö£¡»¶Ó¼ÓÈë»úÆ÷ÊÓ¾õÓë3D¹âѧ³ÉÏñ¿ÎÌâ×é¡£
ÒѾÓÐ0È˻ظ´
ÎïÀíѧIÂÛÎÄÈóÉ«/·ÒëÔõôÊÕ·Ñ?
ÒѾÓÐ103È˻ظ´
**
ÒѾÓÐ1È˻ظ´
0702Ò»Ö¾Ô¸¼ª´óBÇøÇóµ÷¼Á ±¾¿ÆÆÚ¼ä·¢±íһƪSci
ÒѾÓÐ3È˻ظ´
»ùµ×STO,±¡Ä¤SRO£¬XRDÀïÃæµÄÕñµ´£¬ÊÇlaueÕðµ´»¹ÊÇkiessigÕñµ´? ÔõôÅжϣ¿
ÒѾÓÐ2È˻ظ´
BÇøÑ§Éúµ÷¼Á-À¼Öݽ»Í¨´óѧ²ÄÁÏ¿ÆÑ§Ó빤³ÌѧԺ
ÒѾÓÐ8È˻ظ´
ɽÎ÷´óͬ´óѧÎïÀíѧרҵ»¹Óе÷¼ÁÃû¶î£¬»¶Óµ÷¼Á£¡
ÒѾÓÐ12È˻ظ´
¹ðÁÖÀí¹¤´óѧÎïÀíѧרҵÕÐÊÕµ÷¼Á
ÒѾÓÐ11È˻ظ´
VASP µÄÒ»×é GPU / CPU »ù×¼²âÊԼǼ
ÒѾÓÐ0È˻ظ´
ÕÒµ½Ò»Ð©Ïà¹ØµÄ¾«»ªÌû×Ó£¬Ï£ÍûÓÐÓÃŶ~
¶àÏೡ·¨Ïೡ¿ØÖÆ·½³Ì
ÒѾÓÐ6È˻ظ´
Àëɢʱ¼ä״̬¿Õ¼ä·½³ÌÎÊÌ⣨¿ØÖÆ·½Ã棩
ÒѾÓÐ7È˻ظ´
¿ÆÑдÓСľ³æ¿ªÊ¼£¬ÈËÈËΪÎÒ£¬ÎÒΪÈËÈË













»Ø¸´´ËÂ¥
µã»÷ÕâÀïËÑË÷¸ü¶àÏà¹Ø×ÊÔ´