±±¾©Ê¯ÓÍ»¯¹¤Ñ§Ôº2026ÄêÑо¿ÉúÕÐÉú½ÓÊÕµ÷¼Á¹«¸æ
²é¿´: 253  |  »Ø¸´: 2

mengbuluo

½ð³æ (СÓÐÃûÆø)

[ÇóÖú] ÇóÖúÒ»»¯ºÏÎïµÄÊý¾ÝÎÄÏ× ÒÑÓÐ1È˲ÎÓë

½â³öÒ»»¯ºÏÎµ«Ö»²éµ½Ò»ÆªÏà¹ØÎÄÏ×£¬²»ÖªÊÇ·ñÒòΪÈܼÁ²»Í¬£¬Êý¾ÝÓÐЩ²îÒ죬ÇóһƪÓиû¯ºÏÎïÊý¾ÝµÄÎÄÏ×
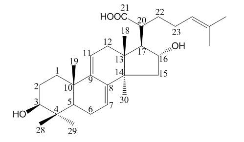
»òÕßÒ²¿ÉÄÜÊÇÁ½¸öôÇ»ùµÄ¹¹ÐͲîÒìµ¼Ö£¬Í¬ÇóÁíÒ»¸ö»¯ºÏÎïÊý¾ÝÎÄÏ×£¬Ð»Ð»´óÉñÃÇ£¡

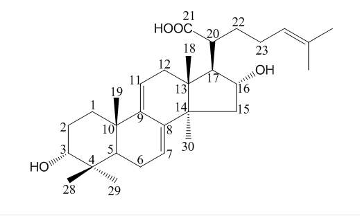
ÇóÖúÒ»»¯ºÏÎïµÄÊý¾ÝÎÄÏ×
DT7LB]J0`1RGLRK93N6%K]0.jpg


ÇóÖúÒ»»¯ºÏÎïµÄÊý¾ÝÎÄÏ×-1
LXE2%0SW_K4~S}B0542~XZA.jpg
»Ø¸´´ËÂ¥

» ²ÂÄãϲ»¶

» ±¾Ö÷ÌâÏà¹Ø¼ÛÖµÌùÍÆ¼ö£¬¶ÔÄúͬÑùÓаïÖú:

ÒÑÔÄ   »Ø¸´´ËÂ¥   ¹Ø×¢TA ¸øTA·¢ÏûÏ¢ ËÍTAºì»¨ TAµÄ»ØÌû

wangkaibo123

ÈÙÓþ°æÖ÷ (Ö°Òµ×÷¼Ò)

kerry

ÓÅÐã°æÖ÷

¡¾´ð°¸¡¿Ó¦Öú»ØÌû

¸Ðл²ÎÓ룬ӦÖúÖ¸Êý +1
ÓÃchemdrow»­  ÔÚSCFÀïÇóÖú
Domyallbesttohaveahappylife.
2Â¥2014-04-20 10:30:26
ÒÑÔÄ   »Ø¸´´ËÂ¥   ¹Ø×¢TA ¸øTA·¢ÏûÏ¢ ËÍTAºì»¨ TAµÄ»ØÌû

mengbuluo

½ð³æ (СÓÐÃûÆø)

ÒýÓûØÌû:
2Â¥: Originally posted by wangkaibo123 at 2014-04-20 10:30:26
ÓÃchemdrow»­  ÔÚSCFÀïÇóÖú

Äܲ»ÄܰïÎÒ²éһϣ¬²»ÖªµÀÊÇÍø»¹ÊÇУÍâ·ÃÎʵÄÔ­Òò£¬ÎÒÒ»Ö±½ø²»È¥SciFinder
3Â¥2014-04-20 16:36:06
ÒÑÔÄ   »Ø¸´´ËÂ¥   ¹Ø×¢TA ¸øTA·¢ÏûÏ¢ ËÍTAºì»¨ TAµÄ»ØÌû
Ïà¹Ø°æ¿éÌø×ª ÎÒÒª¶©ÔÄÂ¥Ö÷ mengbuluo µÄÖ÷Ìâ¸üÐÂ
×î¾ßÈËÆøÈÈÌûÍÆ¼ö [²é¿´È«²¿] ×÷Õß »Ø/¿´ ×îºó·¢±í
[¿¼ÑÐ] 302·ÖÇóµ÷¼Á Ò»Ö¾Ô¸°²»Õ´óѧ085601 +5 zyxÉϰ¶£¡ 2026-04-04 5/250 2026-04-05 07:50 by 544594351
[¿¼ÑÐ] 301Çóµ÷¼Á +10 121. 2026-04-04 10/500 2026-04-05 00:00 by ÓÀ×ÖºÅ
[¿¼ÑÐ] Êý¶þ Ó¢ÓïÒ»£¬Çóµ÷¼Á£¬±¾¿ÆÑ§Ð£¸£½¨Å©ÁÖ´óѧ +3 Îå·å¼â 2026-03-29 3/150 2026-04-04 23:10 by zhyzzh
[˶²©¼ÒÔ°] ÊÛSCIÒ»ÇøÎÄÕ£¬ÎÒ:8.O.5.5.1.O.5.4,¿ÆÄ¿ÆëÈ«,¿É+¼± +3 pz2rtogely 2026-04-03 4/200 2026-04-04 22:52 by 4kq94j3ob2
[¿¼ÑÐ] ±¾¿Æ211 ·ÖÊý293ÇëÇóµ÷¼Á +4 Á«²Ë¾ÍÊÇź°É 2026-04-01 4/200 2026-04-04 22:32 by hemengdong
[¿¼ÑÐ] Ò»Ö¾Ô¸Äϲý´óѧ324Çóµ÷¼Á +9 hanamiko 2026-03-30 9/450 2026-04-04 11:04 by Öí»á·É
[¿¼ÑÐ] Çóµ÷¼Á£¬Ò»Ö¾Ô¸ÄϾ©º½¿Õº½Ìì´óѧ £¬080500²ÄÁÏ¿ÆÑ§Ó빤³Ìѧ˶ +10 @taotao 2026-04-03 10/500 2026-04-04 09:01 by T¿É¿ÉÎ÷ÀïT
[¿¼ÑÐ] 271·ÖÇóµ÷¼ÁѧУ +11 zph158488£¡ 2026-04-02 11/550 2026-04-04 01:06 by userper
[¿¼ÑÐ] 303Çóµ÷¼Á +9 DLkz1314. 2026-03-30 9/450 2026-04-03 18:34 by lsÁõ˧
[¿¼ÑÐ] Ò»Ö¾Ô¸ÉúÎïÓëÒ½Ò©£¬296·Ö£¬Çóµ÷¼Á +8 66¹ 2026-04-03 9/450 2026-04-03 14:22 by »¯Ñ§»¯¹¤Ë¶Ê¿ÕÐÉ
[¿¼ÑÐ] 282Çóµ÷¼Á ²»Ìôרҵ ÇóÊÕÁô +7 Yam. 2026-03-30 8/400 2026-04-03 14:12 by zhangdingwa
[¿¼ÑÐ] 275Çóµ÷¼Á +14 waltzh 2026-04-01 14/700 2026-04-03 11:24 by qqq850810
[¿¼ÑÐ] 316Çóµ÷¼Á +14 ÖÛ×Ô¹£ 2026-04-01 18/900 2026-04-03 10:28 by linyelide
[¿¼ÑÐ] 312 »¯¹¤»òÖÆÒ©µ÷¼Á +8 ССī123 2026-04-02 9/450 2026-04-03 09:12 by zhouxiaoyu
[¿¼ÑÐ] 326Çóµ÷¼Á +10 áÌáÌ×Ð 2026-04-02 10/500 2026-04-03 09:08 by ÅÁ¶ûÂíÀ­ÌØ
[¿¼ÑÐ] 298ÇóBÇøµ÷¼Á +4 zzz£¬£¬r 2026-04-02 5/250 2026-04-02 12:17 by ÍÁľ˶ʿÕÐÉú
[¿¼ÑÐ] 266·Ö£¬Ò»Ö¾Ô¸µçÆø¹¤³Ì£¬±¾¿Æ²ÄÁÏ£¬Çó²ÄÁÏרҵµ÷¼Á +10 ÍÛºôºßºôºß 2026-04-01 11/550 2026-04-02 11:31 by lnilvy
[¿¼ÑÐ] 340Çóµ÷¼Á +4 Ï£ÍûÈç´Ëi 2026-03-31 4/200 2026-03-31 16:40 by 690616278
[¿¼ÑÐ] Ó¢Ò»ÊýÒ»×Ü·Ö334Çóµ÷¼Á +4 ³ÂÑôÀ¤ 2026-03-31 4/200 2026-03-31 14:22 by ¼Çʱ¾2026
[¿¼ÑÐ] Ò»Ö¾Ô¸Õã½­´óѧ¹¤¿Æ¶¯Á¦¹¤³Ì370,ÊýÒ»121,רҵ¿Î135£¬ÏÖÔÚÄÜÈ¥ÄÄÀï +3 080700µ÷¼Á 2026-03-30 4/200 2026-03-31 12:00 by KLMY666
ÐÅÏ¢Ìáʾ
ÇëÌî´¦ÀíÒâ¼û