| 查看: 4423 | 回复: 15 | |||
[交流]
如何精确地计算金属的熔点?
|
|||
|
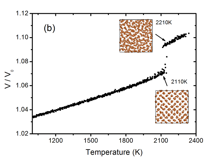
先说说我自己的方法:npt下升温,观察体积变化。体积跳变时对应的就是熔点。实际操作时,就是将体积与温度的曲线画出来,然后肉眼观察大致在什么范围内跳变,然后主观上在这范围内定一个熔点。如下图所示 这实际上不能精确计算熔点是多少。审稿人给的意见也是觉得这种方法不够精确,但没说具体可以用什么方法可以更精确。 想请教下大家都怎么算的啊? |
» 猜你喜欢
265求调剂
已经有6人回复
材料求调剂
已经有13人回复
一志愿郑州大学材料与化工085600,求调剂
已经有26人回复
070300化学279求调剂
已经有18人回复
材料调剂
已经有8人回复
化工求调剂!
已经有6人回复
290求调剂085701
已经有11人回复
085600材料与化工专硕329 求调剂
已经有6人回复
295求调剂
已经有15人回复
一志愿河北工业大学材料工程,初试344求专硕调剂
已经有6人回复
» 本主题相关价值贴推荐,对您同样有帮助:
怎么测金属粉末的熔点呢,用什么仪器,谢谢
已经有8人回复
低熔点金属粘接工艺
已经有5人回复
金属粉末熔点的问题
已经有8人回复
求熔点为1000-1200℃的物质
已经有6人回复
【求助】真空感应熔炼炉能否熔掉高熔点的金属?Ta和Mo等高熔点金属。
已经有16人回复
高熔点金属间化合物在合金重熔时的熔化问题
已经有3人回复
有什么物质的熔点大于普通的钢,最好还是导电的????
已经有3人回复
佳木斯大学金属材料工程大三岩仔之问——金属熔点越高,金属越不易变形的原因是什么?
已经有13人回复
求一些关于稀有高熔点金属W、Mo等金属元素的一些物理特性的资料
已经有11人回复
焊接 低熔点合金
已经有4人回复
金属间化合物的熔点
已经有15人回复
合金的熔点如何测量?
已经有10人回复
真空热处理为什么会降低合金初熔点?
已经有9人回复
【求助】高熔点金属或者合金材料有哪些,有没有能在1450度下工作的金属材料。
已经有24人回复
【讨论】熔点相差很大的合金怎么炼?如Zn-Cr合金
已经有17人回复
【求助】合金熔点
已经有13人回复
【讨论】非晶合金的熔点?
已经有18人回复
» 抢金币啦!回帖就可以得到:
085404 计算机技术 真诚求老师带走 杭电 336 六级已过
+1/89
攀枝花学院大量招收调剂:材料科学与工程(学硕:0805)和材料工程(专硕:0856)
+1/56
江西科技师范大学分析化学专业段学民教授课题组招聘调剂学生
+1/41
喀什大学环境生态修复功能材料与技术团队接收2026年调剂研究生
+1/39
西安-纺织科学与工程(纺织化学与染整)、材料与化工
+1/24
江西师大化学工程学院接收2026调剂生
+1/15
中南林业科技大学《微生物学》26年博士生招生(“申请-审核”录取)-4月22日截止
+1/13
欢迎大家调剂----211大连海事大学双一流专业接受调剂
+1/11
★上海★上海工程技术大学·环境与资源创新中心(ICER)接收化工材料环境等学科调剂生
+1/8
齐鲁工业大学 国家重点实验室-新能源、锂离子电池、材料、化学方向
+1/6
湖南大学白玉罡课题组招收2026年入学博士生(第二批补录)
+1/6
江苏大学化学化工学院2026年硕士研究生招生调剂公告
+1/5
渤海大学材料与环境工程学院发光及透明陶瓷材料、地聚物吸波混凝土方向接收研究生调剂
+1/5
齐鲁工业大学 全国重点实验室-浙江大学衢州研究院联培-锂离子电池、材料化学方向5名
+1/5
复试调剂
+1/4
山西大学招收2026级申请考核制化学材料类博士研究生一名
+1/4
长江师范学院化学化工学院化学工程方向接收大量调剂考生
+1/3
西安工程大学环境与化学工程学院老师招有机学生调剂~
+1/2
重庆交通大学课题组接收调剂生(材料与化工/材料科学与工程/交通运输/交通运输工程)
+1/1
江西农业大学动科院“昆虫-共生菌协同进化”方向招收调剂研究生
+1/1
★ ★
小木虫: 金币+0.5, 给个红包,谢谢回帖
月只蓝: 金币+1, 鼓励交流! 2014-04-22 20:01:27
小木虫: 金币+0.5, 给个红包,谢谢回帖
月只蓝: 金币+1, 鼓励交流! 2014-04-22 20:01:27
|
我感觉你的方法也没太大问题。在网上查了一下,这篇文章的引言部分介绍了一些算熔点的方法: http://scitation.aip.org/content ... 4/10.1063/1.3702587 里面提到一些方法就是把系统一点一点升温,然后考察一些性质(比如说密度)随温度的变化,出现不连续点的温度就是熔点。虽然精确地确定熔点需要通过自由能计算,这样的直观决定熔点的方法其实也差不多了。也许你可以把纵坐标换成密度试试?另外你用肉眼决定不连续点的方法的确不精确,我想应该有一些基本的数值方法可以确定一组数据的不连续点吧。 |
13楼2014-04-19 11:35:05
14楼2014-04-19 13:59:09
4楼2014-04-19 11:03:48
6楼2014-04-19 11:05:47
8楼2014-04-19 11:07:52
15楼2014-04-19 15:12:09
16楼2014-04-19 15:41:05
简单回复
2014-04-19 10:49
回复
dxblt(金币+1): 谢谢参与
2014-04-19 10:56
回复
dxblt(金币+1): 谢谢参与
laom20135楼
2014-04-19 11:05
回复
dxblt(金币+1): 谢谢参与
2014-04-19 11:06
回复
dxblt(金币+1): 谢谢参与
2014-04-19 11:08
回复
dxblt(金币+1): 谢谢参与
neu23410楼
2014-04-19 11:09
回复
dxblt(金币+1): 谢谢参与
木米月厷11楼
2014-04-19 11:12
回复
dxblt(金币+1): 谢谢参与
天涯201212楼
2014-04-19 11:21
回复














回复此楼