Znn3bq.jpeg
²é¿´: 583  |  »Ø¸´: 3

longma135

½ð³æ (СÓÐÃûÆø)

[ÇóÖú] ¹ØÓÚ·øÉäÁ½Í¨Á¿Ä£Ð͵ÄÎÊÌâ

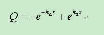
ÎҵļÆËã¹ý³ÌÈçÏ£º


·øÉäÔ´ÏîµÈÓÚ£º
¹ØÓÚ·øÉäÁ½Í¨Á¿Ä£Ð͵ÄÎÊÌâ

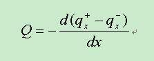
ÎҵļÆËã½á¹ûÈçÏ£º
¹ØÓÚ·øÉäÁ½Í¨Á¿Ä£Ð͵ÄÎÊÌâ-1

²»ÖªµÀÎҵļÆËã¹ý³ÌÓÐûÓÐʲôÎÊÌ⣬Çë´ó¼Ò°ïæ¿´ÏÂ
»Ø¸´´ËÂ¥

» ²ÂÄãϲ»¶

» ±¾Ö÷ÌâÏà¹Ø¼ÛÖµÌùÍÆ¼ö£¬¶ÔÄúͬÑùÓаïÖú:

ÒÑÔÄ   »Ø¸´´ËÂ¥   ¹Ø×¢TA ¸øTA·¢ÏûÏ¢ ËÍTAºì»¨ TAµÄ»ØÌû

longma135

½ð³æ (СÓÐÃûÆø)

´ó¼Ò°ïæ¿´¿´°É
2Â¥2014-04-09 14:02:54
ÒÑÔÄ   »Ø¸´´ËÂ¥   ¹Ø×¢TA ¸øTA·¢ÏûÏ¢ ËÍTAºì»¨ TAµÄ»ØÌû

longma135

½ð³æ (СÓÐÃûÆø)

¶¥Ò»¸ö
3Â¥2014-04-10 09:43:57
ÒÑÔÄ   »Ø¸´´ËÂ¥   ¹Ø×¢TA ¸øTA·¢ÏûÏ¢ ËÍTAºì»¨ TAµÄ»ØÌû

longma135

½ð³æ (СÓÐÃûÆø)

Óж®µÄ°ïæ¿´¿´°É£¬ÕæµÄ×ö²»ÏÂÈ¥ÁË
4Â¥2014-04-14 09:58:30
ÒÑÔÄ   »Ø¸´´ËÂ¥   ¹Ø×¢TA ¸øTA·¢ÏûÏ¢ ËÍTAºì»¨ TAµÄ»ØÌû
Ïà¹Ø°æ¿éÌø×ª ÎÒÒª¶©ÔÄÂ¥Ö÷ longma135 µÄÖ÷Ìâ¸üÐÂ
×î¾ßÈËÆøÈÈÌûÍÆ¼ö [²é¿´È«²¿] ×÷Õß »Ø/¿´ ×îºó·¢±í
[¿¼ÑÐ] 290µ÷¼ÁÉúÎï0860 +28 ÍÛ¹þ¹þ£¬¡£ 2026-04-11 31/1550 2026-04-13 01:16 by ÐÒÃâ ..
[¿¼ÑÐ] 310Çóµ÷¼Á +13 666ÕæºÃ 2026-04-11 14/700 2026-04-12 16:48 by 1005715100
[¿¼ÑÐ] 335Çóµ÷¼Á +13 ÏëÉϰ¶Ñ½£¡£¡ 2026-04-12 13/650 2026-04-12 11:37 by ²ñС°×
[¿¼ÑÐ] Çóµ÷¼Á +6 µçÆø300Çóµ÷¼Á²» 2026-04-08 6/300 2026-04-11 20:14 by ÄæË®³Ë·ç
[¿¼ÑÐ] Çóµ÷¼Á£¬Ò»Ö¾Ô¸´óÁ¬Àí¹¤´óѧ354·Ö +5 ÓêÉùÓàÉú 2026-04-11 6/300 2026-04-11 16:12 by ÓêÉùÓàÉú
[¿¼ÑÐ] Çóµ÷¼Á +10 Á§ÜÔÒ»¶¨Éϰ¶ 2026-04-10 10/500 2026-04-11 13:31 by 1005715100
[¿¼ÑÐ] ÉúÎïѧµ÷¼Á +8 СȽҪŬÁ¦ 2026-04-10 9/450 2026-04-11 10:22 by wwj2530616
[¿¼ÑÐ] 0854µ÷¼Á +8 950824he@ 2026-04-09 8/400 2026-04-11 10:11 by zhq0425
[¿¼ÑÐ] 071000ÉúÎïѧµ÷¼ÁÇóÖú +17 zzzzwww 2026-04-09 20/1000 2026-04-10 15:55 by Çóµ÷¼Ázz
[¿¼ÑÐ] 285Çóµ÷¼Á +9 AZMK 2026-04-07 11/550 2026-04-10 15:24 by AZMK
[¿¼ÑÐ] 292Çóµ÷¼Á +9 ЦЦԬ 2026-04-09 9/450 2026-04-10 10:05 by LHGeng
[¿¼ÑÐ] ¿¼Ñе÷¼Á-²ÄÁÏÀà-284 +28 Ïë»»ÊÖ»ú²»Ïë½âÊ 2026-04-08 28/1400 2026-04-09 20:08 by µ¹Êý321?
[¿¼ÑÐ] ÉúÎïѧµ÷¼Á£¬Ò»Ö¾Ô¸Î÷ÄÏ´óѧ348£¬TopÆÚ¿¯Ò»Çø¶þ×÷¡¢¶þÇøÈý×÷£¬ÈýµÈ½±Ñ§½ðÈý´Î +4 candyyyi 2026-04-09 4/200 2026-04-09 18:39 by l_paradox
[¿¼ÑÐ] 332£¬085601Çóµ÷¼Á +12 ydfyh 2026-04-09 14/700 2026-04-09 17:28 by wp06
[¿¼ÑÐ] Ò»Ö¾Ô¸»ªÄÏʦ·¶´óѧ0702ÎïÀíѧ305µ÷¼Á +4 Äî³£°² 2026-04-07 6/300 2026-04-08 22:53 by bljnqdcc
[¿¼ÑÐ] ÉúÎïѧ328·ÖÇóµ÷¼Á +9 ÉÁµçkkl 2026-04-08 10/500 2026-04-08 21:42 by liuhuiying09
[¿¼ÑÐ] ²ÄÁÏ¿¼ÑÐÇóµ÷¼Á×Ü·Ö280 +30 mkjlz1 2026-04-06 35/1750 2026-04-08 21:25 by cyh¡ª315
[¿¼ÑÐ] 11408 325·Ö +3 jgtxuxgkx 2026-04-07 3/150 2026-04-07 23:10 by lbsjt
[¿¼ÑÐ] 307Çóµ÷¼Á +3 Youth@@ 2026-04-07 3/150 2026-04-07 22:00 by hemengdong
[¿¼ÑÐ] 328Çóµ÷¼Á +4 ghhh88888 2026-04-06 5/250 2026-04-07 14:45 by ghhh88888
ÐÅÏ¢Ìáʾ
ÇëÌî´¦ÀíÒâ¼û