| 查看: 3117 | 回复: 7 | ||
math2000铁杆木虫 (职业作家)
|
[求助]
求助一个复变函数的问题:圆周上四点的交比大于0已有2人参与
|
|
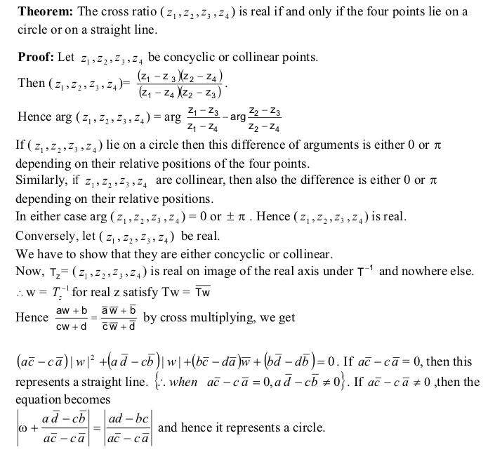
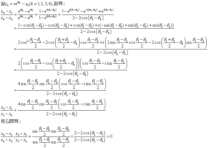
问题:给定圆周K上四个顺序点Z1,Z2,Z3,Z4(复数),证明其交比:[(Z4-Z1)/(Z4-Z2)]:[(Z3-Z1)/(Z3-Z2)]>0 谢谢各位大侠了! |
» 猜你喜欢
请问有评职称,把科研教学业绩算分排序的高校吗
已经有6人回复
2025冷门绝学什么时候出结果
已经有6人回复
Bioresource Technology期刊,第一次返修的时候被退回好几次了
已经有7人回复
真诚求助:手里的省社科项目结项要求主持人一篇中文核心,有什么渠道能发核心吗
已经有8人回复
寻求一种能扛住强氧化性腐蚀性的容器密封件
已经有5人回复
请问哪里可以有青B申请的本子可以借鉴一下。
已经有4人回复
请问下大家为什么这个铃木偶联几乎不反应呢
已经有5人回复
天津工业大学郑柳春团队欢迎化学化工、高分子化学或有机合成方向的博士生和硕士生加入
已经有4人回复
康复大学泰山学者周祺惠团队招收博士研究生
已经有6人回复
AI论文写作工具:是科研加速器还是学术作弊器?
已经有3人回复
hank612
至尊木虫 (著名写手)
- 数学EPI: 14
- 应助: 225 (大学生)
- 金币: 14270.6
- 散金: 1055
- 红花: 95
- 帖子: 1526
- 在线: 1375.8小时
- 虫号: 2530333
- 注册: 2013-07-03
- 性别: GG
- 专业: 理论和计算化学
» 本帖附件资源列表
-
欢迎监督和反馈:小木虫仅提供交流平台,不对该内容负责。
本内容由用户自主发布,如果其内容涉及到知识产权问题,其责任在于用户本人,如对版权有异议,请联系邮箱:xiaomuchong@tal.com - 附件 1 : msc_mathcomplex.pdf
2014-04-07 09:35:59, 1.13 M

2楼2014-04-07 02:36:16
Edstrayer
版主 (著名写手)
方寸斗室小天地正气迷漫大世界
- 数学EPI: 7
- 应助: 157 (高中生)
- 贵宾: 0.927
- 金币: 9349.6
- 散金: 4503
- 红花: 77
- 沙发: 2
- 帖子: 2745
- 在线: 1465.6小时
- 虫号: 3086598
- 注册: 2014-03-25
- 管辖: 数学

3楼2014-04-07 02:39:22
Edstrayer
版主 (著名写手)
方寸斗室小天地正气迷漫大世界
- 数学EPI: 7
- 应助: 157 (高中生)
- 贵宾: 0.927
- 金币: 9349.6
- 散金: 4503
- 红花: 77
- 沙发: 2
- 帖子: 2745
- 在线: 1465.6小时
- 虫号: 3086598
- 注册: 2014-03-25
- 管辖: 数学

4楼2014-04-07 02:41:43
哎哟喂哟
金虫 (正式写手)
- 应助: 22 (小学生)
- 金币: 1034.1
- 红花: 4
- 帖子: 442
- 在线: 131.2小时
- 虫号: 2923231
- 注册: 2014-01-09
- 专业: 常微分方程与动力系统

5楼2014-04-07 08:40:00
userhung
禁虫 (文学泰斗)
木虫博士
- 数学EPI: 1
- 应助: 1505 (讲师)
- 贵宾: 1.347
- 金币: 107941
- 红花: 241
- 沙发: 413
- 帖子: 122982
- 在线: 4265.2小时
- 虫号: 119626
- 注册: 2005-11-28
- 专业: 粒子物理学和场论
6楼2014-04-07 09:26:51
math2000
铁杆木虫 (职业作家)
- 数学EPI: 2
- 应助: 239 (大学生)
- 金币: 5846.2
- 红花: 18
- 帖子: 4810
- 在线: 458.7小时
- 虫号: 235375
- 注册: 2006-04-01
- 专业: 概率论与随机分析
7楼2014-04-07 14:40:05
Edstrayer
版主 (著名写手)
方寸斗室小天地正气迷漫大世界
- 数学EPI: 7
- 应助: 157 (高中生)
- 贵宾: 0.927
- 金币: 9349.6
- 散金: 4503
- 红花: 77
- 沙发: 2
- 帖子: 2745
- 在线: 1465.6小时
- 虫号: 3086598
- 注册: 2014-03-25
- 管辖: 数学

8楼2014-04-07 16:19:30













回复此楼
