| 查看: 410 | 回复: 1 | |
[求助]
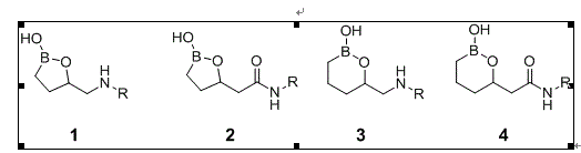
请高手帮忙判断质谱响应或ELSD的响应 已有1人参与
|
|
|
|
|
organicsuper木虫 (正式写手)
|
|
|
2楼2014-04-04 14:29:59
|
|













回复此楼
6