| ²é¿´: 1114 | »Ø¸´: 4 | ||
aizihua66ͳæ (³õÈëÎÄ̳)
|
[ÇóÖú]
ÔõôÓÃspssÇóÒÔÏÂÊý¾Ý£¬Çë»áµÄ´óÏÀ°ï¸öæ°¡ ÒÑÓÐ2È˲ÎÓë
|
|
×é±ð ÀýÊý ´©´Ì³É¹¦ÂÊ ÁôÖÃʱ¼ä µ¼¹ÜÏà¹Ø²¢·¢Ö¢ ʵÑé×é 300 268£¨89.33%£© 4.09+-0.8 32(10.67%) ¶ÔÕÕ×é 300 194£¨64.67%£© 3.02+-0.75 75(25%) Çó´óÏÀ°ïæ·Ö±ð²ÉÓÃÓÿ¨·½¼ìÑéºÍt¼ìÑéËãÏ£¨ÎÒ²»ÊÇÕâ¸öרҵµÄ£¬ÊÜÈËÖ®ÍУ¬Çó´ó¼Ò°ï¸öæ°¡£¬Ô¸½«È«²¿½ð±Ò·îÉÏ£¬ËäÈ»²»¶à£© |
» ²ÂÄãϲ»¶
Ê×¶¼Ò½¿Æ´óѧÐÄÔà´óѪ¹ÜÍâ¿Æ¿¼²©ÕæÌâ
ÒѾÓÐ0È˻ظ´
303ÁÙ´²Ò½Ñ§Çóµ÷¼Á
ÒѾÓÐ0È˻ظ´
ÄÚ·ÖÃÚϵͳ/´úлºÍÓªÑøÖ§³ÖÂÛÎÄÈóÉ«/·ÒëÔõôÊÕ·Ñ?
ÒѾÓÐ176È˻ظ´
ÓгæÓÑ×ö¹ý²ÄÁϱíÃæ°±»ù»¯ºóõ£°·»¯·´Ó¦Á¬½Ó¸ÎËØ»òÆäËû´øÓÐôÈ»ùµÄÂï
ÒѾÓÐ4È˻ظ´
» ±¾Ö÷ÌâÏà¹Ø¼ÛÖµÌùÍÆ¼ö£¬¶ÔÄúͬÑùÓаïÖú:
BMCLͶ¸å±»·µ»Ø£¬¸÷λ´óÏÀ°ï¸öæ°¡£¬¹ØÓÚͶ¸åÒ³Âë±à¼ÎÊÌâ
ÒѾÓÐ7È˻ظ´
ÄÄλ´óÏÀÖªµÀµ¥ÒòËØ·½²î·ÖÎö³ýÁËspssÈí¼þÍâÄĸö»¹ÄÜ×ö£¿
ÒѾÓÐ11È˻ظ´
»úе¶àÌåϵͳ¶¯Á¦Ñ§µÄ×÷Òµ£¬²»»á×ö°¡£¡×ż±µÄºÜ£¡ÄÄλ´óÏÀÀ´°ï¸ö棿£¡
ÒѾÓÐ16È˻ظ´
ÄÄλ´óÏÀÓùýÆû°Í784¹âÒý·¢¼Á£¬½øÀ´°ï¸ö棬лл£¡
ÒѾÓÐ16È˻ظ´
¼±Çó ÒºÌåʯÀ¯µÄ·Ðµã£¬£¬¸÷λ´óÏÀÃÇ£¬°ï¸öæ°¡£¡
ÒѾÓÐ6È˻ظ´
¡¾ÇóÖú¡¿ÇóÖú°¡ÄÇλ¾«Í¨keil51µÄ´óÏÀ°ï¸öæ°¡£¬Ö¸µãÃÔ½ò£¡£¡
ÒѾÓÐ7È˻ظ´
jms_guan
ר¼Ò¹ËÎÊ (ÖøÃûдÊÖ)
- MedEPI: 7
- Ó¦Öú: 70 (³õÖÐÉú)
- ¹ó±ö: 0.017
- ½ð±Ò: 4734.7
- É¢½ð: 546
- ºì»¨: 14
- Ìû×Ó: 1101
- ÔÚÏß: 121.3Сʱ
- ³æºÅ: 845276
- ×¢²á: 2009-09-11
- ÐÔ±ð: GG
- רҵ: ÈËÀàÓªÑø
- ¹ÜϽ: ÉúÎïÒ½Ò©Çø
¡¾´ð°¸¡¿Ó¦Öú»ØÌû
¸Ðл²ÎÓ룬ӦÖúÖ¸Êý +1
| ÄãÓ¦¸ÃÔÙ˵µÄÏêϸһЩ£¬ÄúÏë×öÄǼ¸¸öÖ¸±êµÄ±È½Ï°¡£¿Òª²»Ã»·¨×öµÄ£¡ |

2Â¥2014-03-13 21:28:11
bluecharm
½ð³æ (СÓÐÃûÆø)
- MedEPI: 4
- Ó¦Öú: 15 (СѧÉú)
- ½ð±Ò: 820.8
- É¢½ð: 1
- ºì»¨: 3
- Ìû×Ó: 57
- ÔÚÏß: 10.9Сʱ
- ³æºÅ: 2968995
- ×¢²á: 2014-02-15
- ÐÔ±ð: GG
- רҵ: ÎÀÉú¶¾Àí
¡¾´ð°¸¡¿Ó¦Öú»ØÌû
¸Ðл²ÎÓ룬ӦÖúÖ¸Êý +1
jms_guan: лл»ý¼«²ÎÓëÓ¦Öú 2014-03-16 20:45:57
jms_guan: лл»ý¼«²ÎÓëÓ¦Öú 2014-03-16 20:45:57
|
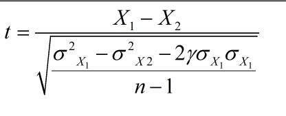
×é±ð* ´¦Àí ½»²æÖÆ±í ¼ÆÊý ´¦Àí ´©´Ì²»³É¹¦ ´©´Ì³É¹¦ ºÏ¼Æ ×é±ð ¶ÔÕÕ 106 194 300 ʵÑé 32 268 300 ºÏ¼Æ 138 462 600 ¿¨·½¼ìÑé Öµ df ½¥½ø Sig. (Ë«²à) ¾«È· Sig.(Ë«²à) ¾«È· Sig.(µ¥²à) Pearson ¿¨·½ 51.534a 1 .000 Á¬ÐøÐ£Õýb 50.151 1 .000 ËÆÈ»±È 53.747 1 .000 Fisher µÄ¾«È·¼ìÑé .000 .000 ÏßÐÔºÍÏßÐÔ×éºÏ 51.448 1 .000 ÓÐЧ°¸ÀýÖÐµÄ N 600 a. 0 µ¥Ôª¸ñ(.0%) µÄÆÚÍû¼ÆÊýÉÙÓÚ 5¡£×îСÆÚÍû¼ÆÊýΪ 69.00¡£ b. ½ö¶Ô 2x2 ±í¼ÆËã (ÓвîÒì) ×é±ð* ²¢·¢Ö¢ ½»²æÖÆ±í ¼ÆÊý ²¢·¢Ö¢ µ¼¹Ü²¢·¢Ö¢ ÎÞ²¢·¢Ö¢ ºÏ¼Æ ×é±ð ¶ÔÕÕ 75 225 300 ʵÑé 32 268 300 ºÏ¼Æ 107 493 600 ¿¨·½¼ìÑé Öµ df ½¥½ø Sig. (Ë«²à) ¾«È· Sig.(Ë«²à) ¾«È· Sig.(µ¥²à) Pearson ¿¨·½ 21.031a 1 .000 Á¬ÐøÐ£Õýb 20.064 1 .000 ËÆÈ»±È 21.534 1 .000 Fisher µÄ¾«È·¼ìÑé .000 .000 ÏßÐÔºÍÏßÐÔ×éºÏ 20.996 1 .000 ÓÐЧ°¸ÀýÖÐµÄ N 600 a. 0 µ¥Ôª¸ñ(.0%) µÄÆÚÍû¼ÆÊýÉÙÓÚ 5¡£×îСÆÚÍû¼ÆÊýΪ 53.50¡£ b. ½ö¶Ô 2x2 ±í¼ÆËã £¨ÓвîÒ죩 T¼ìÑéÊDzÎÊý¼ìÑ飬Ҫ¾ßÌåÊý¾Ý£¬ËùÒÔ²»ÄÜÓÃÈí¼þË㣬¿ÉÒÔÓÃÊÖËã¡£¹«Ê½Îª£º http://baike.baidu.com/link?url= ... DhARWAJuQKpAoZLuWCf |

3Â¥2014-03-14 08:43:01
aizihua66
ͳæ (³õÈëÎÄ̳)
- Ó¦Öú: 0 (Ó×¶ùÔ°)
- ½ð±Ò: 56
- Ìû×Ó: 6
- ÔÚÏß: 9.3Сʱ
- ³æºÅ: 2923594
- ×¢²á: 2014-01-09
- רҵ: ½ðÊôÓë·Ç½ðÊôµØÏ¿ª²É
4Â¥2014-03-14 21:10:31
bluecharm
½ð³æ (СÓÐÃûÆø)
- MedEPI: 4
- Ó¦Öú: 15 (СѧÉú)
- ½ð±Ò: 820.8
- É¢½ð: 1
- ºì»¨: 3
- Ìû×Ó: 57
- ÔÚÏß: 10.9Сʱ
- ³æºÅ: 2968995
- ×¢²á: 2014-02-15
- ÐÔ±ð: GG
- רҵ: ÎÀÉú¶¾Àí
|
²»ÊÇÕâ¸ö¹«Ê½£¬ÊÇÕâ¸ö¹«Ê½µÄÉÏÒ»¸öhttp://baike.baidu.com/link?url= ... G6a_NRD6L2hw_IDdrzP ¶ÀÁ¢Ñù±¾t¼ìÑéͳ¼ÆÁ¿Îª£º ͼƬû·¨·¢¹ýÀ´£¬Äã×Ô¼ºÈ¥¿´Ï¡£²»ÐèÒªÏà¹ØÏµÊý¡£ S1 ºÍ S2 ΪÁ½Ñù±¾·½²î£»n1 ºÍn2 ΪÁ½Ñù±¾ÈÝÁ¿¡££¨ÉÏÃæµÄ¹«Ê½ÊÇ1/n1 + 1/n2 ²»ÊǼõ£¡£© |

5Â¥2014-03-15 12:55:28














»Ø¸´´ËÂ¥