| ²é¿´: 904 | »Ø¸´: 5 | ||
Ë®±Ê2011Òø³æ (ÕýʽдÊÖ)
|
[ÇóÖú]
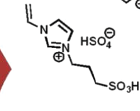
ΪʲôÄÉÃ×Á£×ÓÉϽÓÉÏÁ˼׻ù±ûÏ©Ëáõ¥ºó »áºÍ¾ÛºÏÎïÐγɹ²¼Û¼ü û¿´³öÀ´³æ×ÓÃǰïÏÂæ
|
|
ÎÒÊÇTiO2ÉϽӵÄżÁª¼Á żÁª¼Á´øÁ˼׻ù±ûÏ©Ëáõ¥ ÔõôºÍÒý·¢µÄµ¥Ìå½øÐй²¼Û¼üµÄ½áºÏ£¿ Âé·³¸÷λ¿´ÏÂͼƬÁË Í¼Æ¬23¾ÍÊÇÒªÒý·¢µÄµ¥Ìå ͼƬ22ΪTiO2½ÓµÄżÁª¼Á ͼƬ22.png ͼƬ23.png |
» ²ÂÄãϲ»¶
0703»¯Ñ§µ÷¼Á 348·Ö
ÒѾÓÐ7È˻ظ´
³õÊÔ301£¬´úÂë085701»·¾³¹¤³Ì£¬±¾Ë¶Ò»Ö£¬ËÄÁù¼¶Òѹý£¬ÓжþÇøÒ»×÷£¬¹²·¢±í5ƪÂÛÎÄ
ÒѾÓÐ7È˻ظ´
Ò»Ö¾Ô¸211£¬0703»¯Ñ§305·ÖÇóµ÷¼Á
ÒѾÓÐ8È˻ظ´
085600²ÄÁÏÓ뻯¹¤301·ÖÇóµ÷¼ÁԺУ
ÒѾÓÐ17È˻ظ´
266·Ö£¬Ò»Ö¾Ô¸µçÆø¹¤³Ì£¬±¾¿Æ²ÄÁÏ£¬Çó²ÄÁÏרҵµ÷¼Á
ÒѾÓÐ10È˻ظ´
²ÄÁÏ¿¼ÑÐÇóµ÷¼Á×Ü·Ö280
ÒѾÓÐ10È˻ظ´
312Çóµ÷¼Á
ÒѾÓÐ14È˻ظ´
327¿¼Ñе÷¼ÁÍÆ¼ö
ÒѾÓÐ4È˻ظ´
²ÄÁÏ¿ÆÑ§Ó빤³Ì320Çóµ÷¼Á£¬080500
ÒѾÓÐ6È˻ظ´
308Çóµ÷¼Á
ÒѾÓÐ6È˻ظ´
» ±¾Ö÷ÌâÏà¹ØÉ̼ÒÍÆ¼ö: (ÎÒÒ²ÒªÔÚÕâÀïÍÆ¹ã)
» ±¾Ö÷ÌâÏà¹Ø¼ÛÖµÌùÍÆ¼ö£¬¶ÔÄúͬÑùÓаïÖú:
ÈçºÎÔÚ¾Û±ûÏ©õ£°·¶à¿×²ÄÁÏÖй̶¨ÌìÈ»DNA
ÒѾÓÐ10È˻ظ´
¡¾ÌÖÂÛ¡¿Ê²Ã´Ó°ÏìÇâ¼üµÄÐγɣ¿
ÒѾÓÐ11È˻ظ´
¡¾ÇóÖú¡¿ÈçºÎÑ¡ÔñÊÖÐÔ·ÖÎöÖù
ÒѾÓÐ4È˻ظ´
¡¾ÇóÖú¡¿Çë½Ì²ÊÉ«ÂÁ·Û×ÅÉ«ÎÊÌâ¡£
ÒѾÓÐ6È˻ظ´
Ë®±Ê2011
Òø³æ (ÕýʽдÊÖ)
- Ó¦Öú: 2 (Ó×¶ùÔ°)
- ½ð±Ò: 653.9
- É¢½ð: 443
- ºì»¨: 7
- Ìû×Ó: 578
- ÔÚÏß: 346.2Сʱ
- ³æºÅ: 2469510
- ×¢²á: 2013-05-17
- ÐÔ±ð: GG
- רҵ: ÄÜÔ´»¯¹¤
2Â¥2014-02-26 12:08:01
Ë®±Ê2011
Òø³æ (ÕýʽдÊÖ)
- Ó¦Öú: 2 (Ó×¶ùÔ°)
- ½ð±Ò: 653.9
- É¢½ð: 443
- ºì»¨: 7
- Ìû×Ó: 578
- ÔÚÏß: 346.2Сʱ
- ³æºÅ: 2469510
- ×¢²á: 2013-05-17
- ÐÔ±ð: GG
- רҵ: ÄÜÔ´»¯¹¤
3Â¥2014-02-26 14:22:02
luxiaoxmc
½ð³æ (ÖªÃû×÷¼Ò)
scientist
- Ó¦Öú: 10 (Ó×¶ùÔ°)
- ½ð±Ò: 3787.1
- É¢½ð: 793
- ºì»¨: 8
- Ìû×Ó: 7481
- ÔÚÏß: 650.2Сʱ
- ³æºÅ: 2972500
- ×¢²á: 2014-02-17
- ÐÔ±ð: GG
- רҵ: ¸ß·Ö×Ӻϳɻ¯Ñ§

4Â¥2014-02-26 14:29:26
Ë®±Ê2011
Òø³æ (ÕýʽдÊÖ)
- Ó¦Öú: 2 (Ó×¶ùÔ°)
- ½ð±Ò: 653.9
- É¢½ð: 443
- ºì»¨: 7
- Ìû×Ó: 578
- ÔÚÏß: 346.2Сʱ
- ³æºÅ: 2469510
- ×¢²á: 2013-05-17
- ÐÔ±ð: GG
- רҵ: ÄÜÔ´»¯¹¤
5Â¥2014-02-26 14:53:10
Ë®±Ê2011
Òø³æ (ÕýʽдÊÖ)
- Ó¦Öú: 2 (Ó×¶ùÔ°)
- ½ð±Ò: 653.9
- É¢½ð: 443
- ºì»¨: 7
- Ìû×Ó: 578
- ÔÚÏß: 346.2Сʱ
- ³æºÅ: 2469510
- ×¢²á: 2013-05-17
- ÐÔ±ð: GG
- רҵ: ÄÜÔ´»¯¹¤
6Â¥2014-02-28 16:31:22














»Ø¸´´ËÂ¥