| ²é¿´: 7208 | »Ø¸´: 1 | ||||
wyyhnlsгæ (³õÈëÎÄ̳)
|
[ÇóÖú]
¹ØÓÚ¹þÃܶÙËã×ÓµÄÎÊÌâÇë½Ì´ó¼Ò£¬Ð»Ð»¡£ ÒÑÓÐ1È˲ÎÓë
|
|
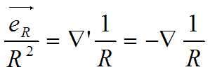
µÚÒ»¸öͼƬÖеĹ«Ê½ÎÒ²»Ì«¶®£¬¹þÃܶÙËã×ÓÓÒÉϽÇΪʲôÓÐһƲ£¬ÕâһƲÊǵ¼ÊýµÄº¬ÒåÂ𣿠»¹Óеڶþ¸öͼÊÇʸÁ¿µÄ¹«Ê½£¬µ«ÎªÊ²Ã´Ò²¼ÓÉÏÁËÒ»Æ²ÄØ£¬²»Ã÷°×¡£ÓÐÖªµÀµÄǰ±²°ïÎÒ½âÊÍһϣ¬Ôڴ˶àлÁË£¡ ͼƬ1.jpg ͼƬ2.jpg |
» ²ÂÄãϲ»¶
083200 305·Ö Çó¶þÂÖµ÷¼Á ²»½ÓÊÜ¿çרҵ
ÒѾÓÐ10È˻ظ´
Ò»Ö¾Ô¸211£¬»¯Ñ§Ñ§Ë¶£¬310·Ö£¬±¾¿ÆÖصãË«·Ç£¬Çóµ÷¼Á
ÒѾÓÐ19È˻ظ´
280Çóµ÷¼Á
ÒѾÓÐ12È˻ظ´
283Çóµ÷¼Á
ÒѾÓÐ21È˻ظ´
ÉúÎïѧµ÷¼Á ¿Éµ÷¼Áµ½ÉúÎïÓëÒ½Ò©
ÒѾÓÐ8È˻ظ´
289 ·Ö105500ҩѧר˶Çóµ÷¼Á(ÕÒBÇøÑ§Ð£)
ÒѾÓÐ8È˻ظ´
295·ÖÇóµ÷¼Á
ÒѾÓÐ6È˻ظ´
284Çóµ÷¼Á
ÒѾÓÐ21È˻ظ´
277 ÊýÒ»104£¬Ñ§Ë¶£¬Çóµ÷¼Á
ÒѾÓÐ17È˻ظ´
ҩѧר˶µ÷¼Á
ÒѾÓÐ7È˻ظ´
» ±¾Ö÷ÌâÏà¹Ø¼ÛÖµÌùÍÆ¼ö£¬¶ÔÄúͬÑùÓаïÖú:
Çò×ø±ê¹þÃܶÙËã×ÓµÄÍÆµ¼
ÒѾÓÐ10È˻ظ´
ÊýѧÇàÄê»ù½ð,ÊÖ¹¤½ö²é³ö9¸ö!
ÒѾÓÐ55È˻ظ´
racoon01
ר¼Ò¹ËÎÊ (ÖøÃûдÊÖ)
-

ר¼Ò¾Ñé: +213 - ÎïÀíEPI: 25
- Ó¦Öú: 212 (´óѧÉú)
- ½ð±Ò: 24355.2
- É¢½ð: 27
- ºì»¨: 71
- Ìû×Ó: 2438
- ÔÚÏß: 643.2Сʱ
- ³æºÅ: 1282452
- ×¢²á: 2011-05-01
- רҵ: Öйú½ü´úÊ·¡¢ÏÖ´úÊ·
- ¹ÜϽ: ÎïÀí
¡¾´ð°¸¡¿Ó¦Öú»ØÌû
¡ï
¸Ðл²ÎÓ룬ӦÖúÖ¸Êý +1
wyyhnls: ½ð±Ò+1, ¡ï¡ï¡ïºÜÓаïÖú 2014-02-25 08:12:41
¸Ðл²ÎÓ룬ӦÖúÖ¸Êý +1
wyyhnls: ½ð±Ò+1, ¡ï¡ï¡ïºÜÓаïÖú 2014-02-25 08:12:41
| RÁªÏµÓÚ´ÓÔ´µãÖ¸Ïò³¡µãµÄλÖÃʸÁ¿¡£²»´øÆ²¶Ô³¡µãÇóµ¼£¬´øÆ²¶ÔÔ´µãÇ󵼡£ |

2Â¥2014-02-23 21:54:27













»Ø¸´´ËÂ¥