| 查看: 9955 | 回复: 3 | |||
xiaoshubest金虫 (小有名气)
|
[求助]
不同温度下生成焓ΔH怎么计算 已有2人参与
|
|
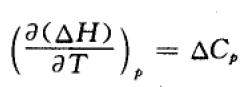
不同温度下,纯物质的标准摩尔生成焓怎么计算?谢谢! [ Last edited by sddtc888 on 2014-2-20 at 14:10 ] |
» 猜你喜欢
武汉纺织大学-材料科学与工程学院-姜伟杰青团队-招生物方向调剂
已经有0人回复
武汉纺织大学-材料科学与工程学院-招 生物方向 硕士!
已经有0人回复
有机高分子材料论文润色/翻译怎么收费?
已经有295人回复
武汉纺织大学-材料科学与工程学院-姜伟杰青团队-招生物方向调剂
已经有0人回复
[武汉纺织大学]材料学院[姜伟团队名称]课题组-2026年硕士研究生调剂信息
已经有0人回复
武汉纺织大学-材料科学与工程学院-姜伟杰青团队-招调剂
已经有0人回复
生物医学材料前沿科普:低密度、高孔隙率的“多孔微球”核心技术与应用全景
已经有1人回复
湖南工业大学周贵寅组招生物医学工程(学硕07、08都行)、生物与医药(专硕08)硕士生
已经有0人回复
湖南工业大学周贵寅组招生物医学工程(学硕07、08都行)和生物与医药(专硕08)硕士生
已经有0人回复
考研求调剂
已经有0人回复
2026年中南民族大学化学与材料科学学院调剂公告
已经有38人回复
» 本主题相关价值贴推荐,对您同样有帮助:
求提到乙酸甲酯(气相)标准生成焓与标准熵的文献
已经有5人回复
标准生成焓和标准生成熵及其温度范围
已经有9人回复
请教怎样计算高压下材料的焓
已经有13人回复
不同温度,同一个反应,焓变相同吗?
已经有25人回复
求急解!!!!关于燃烧焓和生成焓的计算问题
已经有6人回复
关于不同温度下反应热的计算求解
已经有3人回复
ansys相变分析中焓值的设定
已经有11人回复
MS能否计算温度超过1000K的热力学数据如焓、熵
已经有7人回复
请问VASP计算,怎么样得到形成焓?
已经有12人回复
不同温度下乙醇的摩尔气化焓
已经有7人回复
化学反应热的计算
已经有15人回复
求教水的标准摩尔生成焓的问题
已经有4人回复
如何计算物质某个压强下的焓值
已经有9人回复
abinit计算晶体生成焓的问题讨论
已经有7人回复
关于使用PHREEQC进行形态分析
已经有6人回复
不同压强不同温度下水与饱和蒸汽的焓值曲线
已经有8人回复
【求助】关于概念的区别
已经有8人回复
【求助】理想气体的焓值
已经有9人回复

sddtc888
至尊木虫 (著名写手)
Hψ=Eψ S=klnΩ dS≥δQ/T
- ICEPI: 4
- 应助: 181 (高中生)
- 贵宾: 2.508
- 金币: 10753.4
- 散金: 1948
- 红花: 29
- 沙发: 1
- 帖子: 1609
- 在线: 1165.1小时
- 虫号: 1410152
- 注册: 2011-09-20
- 性别: GG
- 专业: 凝聚态物性 II :电子结构
【答案】应助回帖
★ ★ ★ ★ ★ ★ ★ ★ ★ ★ ★ ★ ★ ★ ★
感谢参与,应助指数 +1
xiaoshubest: 金币+15, ★★★很有帮助 2014-02-20 17:36:08
感谢参与,应助指数 +1
xiaoshubest: 金币+15, ★★★很有帮助 2014-02-20 17:36:08

2楼2014-02-20 14:48:14
橡胶人
荣誉版主 (文坛精英)
-

专家经验: +1427 - ICEPI: 1
- 应助: 7517 (副教授)
- 贵宾: 9.047
- 金币: 78576.7
- 散金: 259
- 红花: 341
- 沙发: 1
- 帖子: 18712
- 在线: 2927小时
- 虫号: 2435084
- 注册: 2013-04-24
- 性别: GG
- 专业: 橡胶及弹性体
- 管辖: 标准与专利
3楼2014-02-20 16:01:12
xiaoshubest
金虫 (小有名气)
- 应助: 0 (幼儿园)
- 金币: 1814.3
- 红花: 1
- 帖子: 141
- 在线: 49.1小时
- 虫号: 1275053
- 注册: 2011-04-23
- 性别: MM
- 专业: 化工系统工程

4楼2014-02-20 17:37:52














回复此楼