| 查看: 2076 | 回复: 8 | |||
qianbianzhu新虫 (小有名气)
|
[求助]
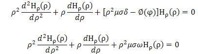
如何求解含复数系数的贝塞尔微分方程
|
推导过程整个是这样的,其中μ,σ,δ,ω和∅(φ)都是已知的,不过系数是复数![]() 最后就是转换成贝塞尔方程了,可是系数里面有复数,应该怎么消除呢?请老师及同学帮帮忙,谢谢了 [ Last edited by qianbianzhu on 2014-2-19 at 23:35 ] |
» 猜你喜欢
请问有评职称,把科研教学业绩算分排序的高校吗
已经有3人回复
孩子确诊有中度注意力缺陷
已经有12人回复
2025冷门绝学什么时候出结果
已经有3人回复
天津工业大学郑柳春团队欢迎化学化工、高分子化学或有机合成方向的博士生和硕士生加入
已经有4人回复
康复大学泰山学者周祺惠团队招收博士研究生
已经有6人回复
AI论文写作工具:是科研加速器还是学术作弊器?
已经有3人回复
2026博士申请-功能高分子,水凝胶方向
已经有6人回复
论文投稿,期刊推荐
已经有4人回复
硕士和导师闹得不愉快
已经有13人回复
请问2026国家基金面上项目会启动申2停1吗
已经有5人回复
feixiaolin
荣誉版主 (文坛精英)
-

专家经验: +518 - 应助: 942 (博后)
- 贵宾: 1.275
- 金币: 2930
- 散金: 58785
- 红花: 532
- 沙发: 11
- 帖子: 24215
- 在线: 2601.8小时
- 虫号: 2139575
- 注册: 2012-11-21
- 专业: 光学信息获取与处理
- 管辖: 数学
2楼2014-02-20 22:10:12
qianbianzhu
新虫 (小有名气)
- 应助: 2 (幼儿园)
- 金币: 685.4
- 红花: 1
- 帖子: 114
- 在线: 34.3小时
- 虫号: 1451694
- 注册: 2011-10-20
- 专业: 电磁场与电路
3楼2014-02-21 15:48:09
feixiaolin
荣誉版主 (文坛精英)
-

专家经验: +518 - 应助: 942 (博后)
- 贵宾: 1.275
- 金币: 2930
- 散金: 58785
- 红花: 532
- 沙发: 11
- 帖子: 24215
- 在线: 2601.8小时
- 虫号: 2139575
- 注册: 2012-11-21
- 专业: 光学信息获取与处理
- 管辖: 数学
4楼2014-02-21 15:50:09
qianbianzhu
新虫 (小有名气)
- 应助: 2 (幼儿园)
- 金币: 685.4
- 红花: 1
- 帖子: 114
- 在线: 34.3小时
- 虫号: 1451694
- 注册: 2011-10-20
- 专业: 电磁场与电路
5楼2014-02-21 16:45:31
feixiaolin
荣誉版主 (文坛精英)
-

专家经验: +518 - 应助: 942 (博后)
- 贵宾: 1.275
- 金币: 2930
- 散金: 58785
- 红花: 532
- 沙发: 11
- 帖子: 24215
- 在线: 2601.8小时
- 虫号: 2139575
- 注册: 2012-11-21
- 专业: 光学信息获取与处理
- 管辖: 数学
6楼2014-02-21 17:44:04
qianbianzhu
新虫 (小有名气)
- 应助: 2 (幼儿园)
- 金币: 685.4
- 红花: 1
- 帖子: 114
- 在线: 34.3小时
- 虫号: 1451694
- 注册: 2011-10-20
- 专业: 电磁场与电路
7楼2014-02-21 21:45:54
feixiaolin
荣誉版主 (文坛精英)
-

专家经验: +518 - 应助: 942 (博后)
- 贵宾: 1.275
- 金币: 2930
- 散金: 58785
- 红花: 532
- 沙发: 11
- 帖子: 24215
- 在线: 2601.8小时
- 虫号: 2139575
- 注册: 2012-11-21
- 专业: 光学信息获取与处理
- 管辖: 数学
8楼2014-02-21 21:55:55
9楼2017-04-29 12:30:42















回复此楼