| 查看: 896 | 回复: 1 | ||
[求助]
下面这个简单的优化问题,为什么限制集是凸集,解就是唯一的 已有1人参与
|
|
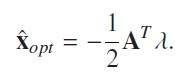
目标函数如下,如图1 可以采用拉格朗日乘子法进行求解,如下(目标函数J这里简单假设为l2范数的平方)如图2 解得结果如下,如图3 显然对于任意的向量x,其l2范数平方是凸的。书里就说解是唯一的,我想问下是为什么 1.jpg 2.jpg 3.jpg |
» 猜你喜欢
过年走亲戚时感受到了所开私家车的鄙视链
已经有10人回复
今年春晚有几个节目很不错,点赞!
已经有12人回复
情人节自我反思:在爱情中有过遗憾吗?
已经有13人回复
体制内长辈说体制内绝大部分一辈子在底层,如同你们一样大部分普通教师忙且收入低
已经有12人回复
基金正文30页指的是报告正文还是整个申请书
已经有5人回复

nandehutu9327
至尊木虫 (职业作家)
- 应助: 279 (大学生)
- 金币: 18212.2
- 散金: 780
- 红花: 5
- 沙发: 2
- 帖子: 4561
- 在线: 591.1小时
- 虫号: 784367
- 注册: 2009-06-01
- 性别: GG
- 专业: 控制理论与方法
2楼2014-02-06 11:08:29













回复此楼