| 查看: 7367 | 回复: 13 | |||
xmc!.金虫 (正式写手)
|
[交流]
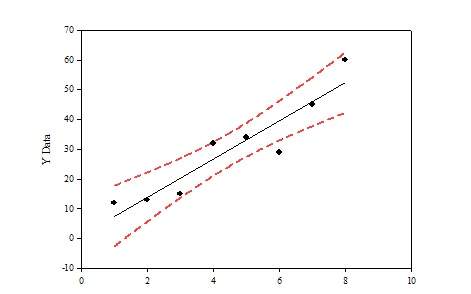
线性回归分析中添加置信区间的方法已有10人参与
|
||
论文发表 |
» 本帖已获得的红花(最新10朵)
» 猜你喜欢
三甲基碘化亚砜的氧化反应
已经有4人回复
请问下大家为什么这个铃木偶联几乎不反应呢
已经有5人回复
请问有评职称,把科研教学业绩算分排序的高校吗
已经有5人回复
孩子确诊有中度注意力缺陷
已经有12人回复
2025冷门绝学什么时候出结果
已经有3人回复
天津工业大学郑柳春团队欢迎化学化工、高分子化学或有机合成方向的博士生和硕士生加入
已经有4人回复
康复大学泰山学者周祺惠团队招收博士研究生
已经有6人回复
AI论文写作工具:是科研加速器还是学术作弊器?
已经有3人回复
论文投稿,期刊推荐
已经有4人回复
硕士和导师闹得不愉快
已经有13人回复
» 本主题相关价值贴推荐,对您同样有帮助:
如何计算时间序列置信区间
已经有1人回复
室内毒力测定(求LC50,置信度和置信区间,斜率±误差)数据怎么用软件分析?
已经有3人回复
概率论和数理统计的Matlab实现
已经有261人回复
用Spss软件得到的各水平均值的置信区间和手动计算均值的置信区间不同问题
已经有14人回复
请问一组数能和一个数进行差异性检验吗?
已经有4人回复
使用OriginPro 8进行Logistic回归时,怎么显示ED50和95%置信区间?
已经有7人回复
求助SigmaPlot拟合Logistic曲线时,怎么显示出具体方程式,以及ED50?
已经有7人回复
怎么做曲线的误差线
已经有3人回复
用spss拟合生长曲线(非线性回归)其中参数初始值怎么确定?
已经有10人回复
【教程】SPSS 统计应用与解析(第3版)——史上最好的统计学教材
已经有826人回复
毕设,数学相关专业,求指导!
已经有18人回复
SPSS问题
已经有3人回复
【求助】 求MAtlab求解程序!!!
已经有20人回复
xmc!.
金虫 (正式写手)
- 应助: 9 (幼儿园)
- 金币: 1154.8
- 散金: 1251
- 红花: 22
- 帖子: 652
- 在线: 142.1小时
- 虫号: 587615
- 注册: 2008-08-22
- 专业: 食品科学基础
8楼2014-01-18 15:02:26

2楼2014-01-17 18:38:01
3楼2014-01-18 05:47:30
哎哟喂哟
金虫 (正式写手)
- 应助: 22 (小学生)
- 金币: 1034.1
- 红花: 4
- 帖子: 442
- 在线: 131.2小时
- 虫号: 2923231
- 注册: 2014-01-09
- 专业: 常微分方程与动力系统

4楼2014-01-18 08:20:49
Mr__Right
专家顾问 (著名写手)
-

专家经验: +31 - 数学EPI: 1
- 应助: 317 (大学生)
- 金币: 14456.3
- 散金: 500
- 红花: 54
- 帖子: 2716
- 在线: 950.6小时
- 虫号: 1972612
- 注册: 2012-09-04
- 性别: GG
- 专业: 应用数学方法
- 管辖: 程序语言

5楼2014-01-18 09:34:49
paul_ding
木虫 (正式写手)
- 应助: 7 (幼儿园)
- 金币: 8109.5
- 红花: 5
- 沙发: 1
- 帖子: 592
- 在线: 135.8小时
- 虫号: 1399987
- 注册: 2011-09-13
- 性别: GG
- 专业: 制造系统与自动化

6楼2014-01-18 10:05:41
paul_ding
木虫 (正式写手)
- 应助: 7 (幼儿园)
- 金币: 8109.5
- 红花: 5
- 沙发: 1
- 帖子: 592
- 在线: 135.8小时
- 虫号: 1399987
- 注册: 2011-09-13
- 性别: GG
- 专业: 制造系统与自动化

7楼2014-01-18 10:06:28
9楼2014-01-18 16:56:10
布加迪不
新虫 (初入文坛)
- 应助: 0 (幼儿园)
- 金币: 3.6
- 散金: 5
- 帖子: 12
- 在线: 10.4小时
- 虫号: 7861042
- 注册: 2018-02-01
- 性别: MM
- 专业: 水环境与生态水利
10楼2018-06-29 10:11:47














回复此楼
布加迪不