| 查看: 398 | 回复: 2 | |
[求助]
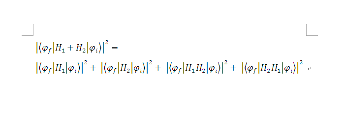
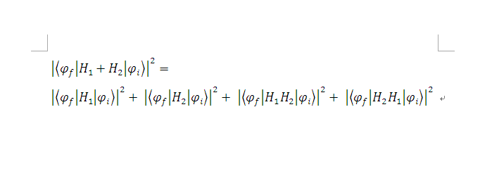
哈密顿量作用在左右矢的模方 已有1人参与
|
|
|
|
|
touxian木虫 (著名写手)
|
|
![]() |
|
|
2楼2014-01-17 17:52:35
|
|
|
3楼2014-01-17 19:10:39
|
|














回复此楼

5