²é¿´: 1237  |  »Ø¸´: 7

¿Ë³˹

½ð³æ (СÓÐÃûÆø)


[½»Á÷] ÅðÌæ×ôÃ× ÔÓÖÊ È¥³ý

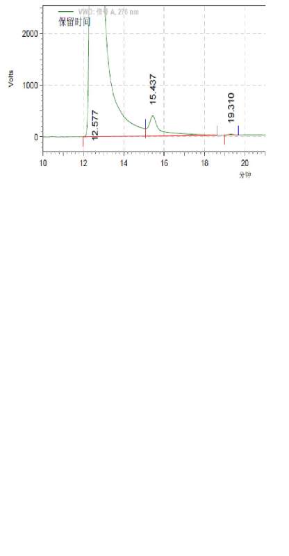
ÈçÌ⣬ʵÑéʱÄÑÒÔ°Ñt=15.437minÔÓÖʳýÈ¥£¬²»Öª¸÷λÓÐûÓÐÅöµ½¹ý¸ÃÔÓÖÊ£¿ÓкÎÁ¼²ß£¿É¶½á¹¹£¿ÄÄÀï²úÉúµÄÄØ£¿Öؽᾧ¼¸´ÎÒ²³ý²»µô£¬¿ì·èÁË
ÅðÌæ×ôÃ× ÔÓÖÊ È¥³ý
ÅðÌæ×ôÃ×É«Æ×ͼ.JPG
»Ø¸´´ËÂ¥

» ²ÂÄãϲ»¶

» ±¾Ö÷ÌâÏà¹Ø¼ÛÖµÌùÍÆ¼ö£¬¶ÔÄúͬÑùÓаïÖú:

» ÇÀ½ð±ÒÀ²£¡»ØÌû¾Í¿ÉÒԵõ½:

²é¿´È«²¿É¢½ðÌù

ÒÑÔÄ   »Ø¸´´ËÂ¥   ¹Ø×¢TA ¸øTA·¢ÏûÏ¢ ËÍTAºì»¨ TAµÄ»ØÌû

wachina

ÖÁ×ðľ³æ (ÖªÃû×÷¼Ò)


¡ï
Сľ³æ: ½ð±Ò+0.5, ¸ø¸öºì°ü£¬Ð»Ð»»ØÌû
·ÖÀë¶ÈÒ²²»ÐУ¬ÏȰÑHPLCÌõ¼þÃþË÷ºÃÔÙ˵
2Â¥2014-01-02 18:12:29
ÒÑÔÄ   »Ø¸´´ËÂ¥   ¹Ø×¢TA ¸øTA·¢ÏûÏ¢ ËÍTAºì»¨ TAµÄ»ØÌû

¿Ë³˹

½ð³æ (СÓÐÃûÆø)


ÒýÓûØÌû:
2Â¥: Originally posted by wachina at 2014-01-02 18:12:29
·ÖÀë¶ÈÒ²²»ÐУ¬ÏȰÑHPLCÌõ¼þÃþË÷ºÃÔÙ˵

ÕâÊǰ´ÕÕ½ø¿ÚÖÆ¼Á±ê×¼·½·¨¼ì²âµÄ£¬½á¹û¾ÍÊÇÕâÑùµÄ°¡~~
3Â¥2014-01-02 20:11:01
ÒÑÔÄ   »Ø¸´´ËÂ¥   ¹Ø×¢TA ¸øTA·¢ÏûÏ¢ ËÍTAºì»¨ TAµÄ»ØÌû

¿Ë³˹

½ð³æ (СÓÐÃûÆø)


ÔõôûÐֵܽãÃÃÖ§¸öÕÐɶµÄ°¡¡£¡£¡£help~
4Â¥2014-01-03 15:18:59
ÒÑÔÄ   »Ø¸´´ËÂ¥   ¹Ø×¢TA ¸øTA·¢ÏûÏ¢ ËÍTAºì»¨ TAµÄ»ØÌû

JN_hongji

гæ (³õÈëÎÄ̳)


¡ï ¡ï ¡ï ¡ï ¡ï ¡ï
Сľ³æ: ½ð±Ò+0.5, ¸ø¸öºì°ü£¬Ð»Ð»»ØÌû
¿Ë³˹: ½ð±Ò+5 2014-01-07 10:40:54
ÒÀ¾Ý¿ª·¢µÄ¹¤ÒÕ·Ïß²»Í¬£¬ÔÓÖʲ»Ò»¶¨Ïàͬ£¬°´ÕÕÏà¶Ô±£Áôʱ¼äÍÆ²âÕâ¸öÔÓÖÊÊÇÒ»¸ö¹¤ÒÕÔÓÖÊ£¬ÎÒÃÇÔÚ¿ª·¢¹ý³ÌÖÐÔøÓöµ½¹ý
5Â¥2014-01-07 00:27:17
ÒÑÔÄ   »Ø¸´´ËÂ¥   ¹Ø×¢TA ¸øTA·¢ÏûÏ¢ ËÍTAºì»¨ TAµÄ»ØÌû

¿Ë³˹

½ð³æ (СÓÐÃûÆø)


ÒýÓûØÌû:
5Â¥: Originally posted by JN_hongji at 2014-01-07 00:27:17
ÒÀ¾Ý¿ª·¢µÄ¹¤ÒÕ·Ïß²»Í¬£¬ÔÓÖʲ»Ò»¶¨Ïàͬ£¬°´ÕÕÏà¶Ô±£Áôʱ¼äÍÆ²âÕâ¸öÔÓÖÊÊÇÒ»¸ö¹¤ÒÕÔÓÖÊ£¬ÎÒÃÇÔÚ¿ª·¢¹ý³ÌÖÐÔøÓöµ½¹ý

Õâ¸öÔÓÖÊÏÖÔÚ¾ÍÊÇÎÒÏÖÔÚµÄÀ¹Â·»¢£¬¶¼ºÜÄѽµµ½0.2ÒÔÏ¡£¡£¡£ÎÞÓïѽ~²»Öª¹ó·½ÊÇÔÚʲô»·½ÚÄÜ¿ØÖÆ×¡ËüµÄÁ¿£¿¿ì±»ÕÛÌÚËÀÁË¡£¡£¡£
6Â¥2014-01-07 10:43:18
ÒÑÔÄ   »Ø¸´´ËÂ¥   ¹Ø×¢TA ¸øTA·¢ÏûÏ¢ ËÍTAºì»¨ TAµÄ»ØÌû

JN_hongji

гæ (³õÈëÎÄ̳)


¡ï
Сľ³æ: ½ð±Ò+0.5, ¸ø¸öºì°ü£¬Ð»Ð»»ØÌû
ÒýÓûØÌû:
6Â¥: Originally posted by ¿Ë³˹ at 2014-01-07 10:43:18
Õâ¸öÔÓÖÊÏÖÔÚ¾ÍÊÇÎÒÏÖÔÚµÄÀ¹Â·»¢£¬¶¼ºÜÄѽµµ½0.2ÒÔÏ¡£¡£¡£ÎÞÓïѽ~²»Öª¹ó·½ÊÇÔÚʲô»·½ÚÄÜ¿ØÖÆ×¡ËüµÄÁ¿£¿¿ì±»ÕÛÌÚËÀÁË¡£¡£¡£...

ÎÒ¾õµÃÄãÃÇ»¹ÊǾ¡¿ìͨ¹ýÒºÖʵȷ½·¨È·¶¨½á¹¹£¬ÖªµÀÔÓÖÊÒýÈëµÄÀ´Ô´£¬È»ºóÔÙÏë°ì·¨¿ØÖÆ

[ ·¢×ÔСľ³æ¿Í»§¶Ë ]
7Â¥2014-01-07 12:21:08
ÒÑÔÄ   »Ø¸´´ËÂ¥   ¹Ø×¢TA ¸øTA·¢ÏûÏ¢ ËÍTAºì»¨ TAµÄ»ØÌû

JN_hongji

гæ (³õÈëÎÄ̳)


ÒýÓûØÌû:
6Â¥: Originally posted by ¿Ë³˹ at 2014-01-07 10:43:18
Õâ¸öÔÓÖÊÏÖÔÚ¾ÍÊÇÎÒÏÖÔÚµÄÀ¹Â·»¢£¬¶¼ºÜÄѽµµ½0.2ÒÔÏ¡£¡£¡£ÎÞÓïѽ~²»Öª¹ó·½ÊÇÔÚʲô»·½ÚÄÜ¿ØÖÆ×¡ËüµÄÁ¿£¿¿ì±»ÕÛÌÚËÀÁË¡£¡£¡£...

ÎÒÃÇÏÖÔÚÄÜ×öµ½99.95%ÒÔÉÏ£¬µ¥ÔÓ0.1%ÒÔÏÂ

[ ·¢×ÔСľ³æ¿Í»§¶Ë ]
8Â¥2014-01-07 12:22:52
ÒÑÔÄ   »Ø¸´´ËÂ¥   ¹Ø×¢TA ¸øTA·¢ÏûÏ¢ ËÍTAºì»¨ TAµÄ»ØÌû
Ïà¹Ø°æ¿éÌø×ª ÎÒÒª¶©ÔÄÂ¥Ö÷ ¿Ë³˹ µÄÖ÷Ìâ¸üÐÂ
×î¾ßÈËÆøÈÈÌûÍÆ¼ö [²é¿´È«²¿] ×÷Õß »Ø/¿´ ×îºó·¢±í
[¿¼ÑÐ] 265Çóµ÷¼Á +8 ÁºÁºÐ£Ð£ 2026-03-17 8/400 2026-03-20 14:40 by 27µÀ¿ÆÌØ
[¿¼ÑÐ] ±¾ÈË¿¼085602 »¯Ñ§¹¤³Ì ר˶ +18 ²»ÖªµÀ½Ðʲô£¡ 2026-03-15 20/1000 2026-03-20 13:52 by danney002
[¿¼ÑÐ] 296Çóµ÷¼Á +4 www_q 2026-03-18 8/400 2026-03-20 12:12 by ѧԱ8dgXkO
[¿¼²©] ÕÐÊÕ²©Ê¿1-2ÈË +3 QGZDSYS 2026-03-18 3/150 2026-03-20 11:58 by ßÉßÉßÉßɽÐ
[¿¼ÑÐ] 304Çóµ÷¼Á +5 ÂüÊâ2266 2026-03-18 5/250 2026-03-20 09:00 by ZHANG0tao
[¿¼ÑÐ] ²ÄÁÏר˶ӢһÊý¶þ306 +6 z1z2z3879 2026-03-18 6/300 2026-03-20 08:49 by xingguangj
[¿¼ÑÐ] Ò»Ö¾Ô¸Ìì½ò´óѧ»¯Ñ§¹¤ÒÕרҵ£¨081702£©315·ÖÇóµ÷¼Á +11 yangfz 2026-03-17 11/550 2026-03-19 15:06 by houyaoxu
[¿¼ÑÐ] ¡¾Í¬¼ÃÈí¼þ¡¿Èí¼þ£¨085405£©¿¼ÑÐÇóµ÷¼Á +3 2026eternal 2026-03-18 3/150 2026-03-18 19:09 by ²«»÷518
[¿¼ÑÐ] Ò»Ö¾Ô¸Î÷ÄϽ»´ó£¬Çóµ÷¼Á +4 ²Ä»¯ÖðÃÎÈË 2026-03-18 4/200 2026-03-18 14:22 by 007_lilei
[¿¼ÑÐ] 304Çóµ÷¼Á +12 СÐÜjoy 2026-03-14 13/650 2026-03-18 12:34 by Linda Hu
[¿¼ÑÐ] 299Çóµ÷¼Á +5 ¡÷С͸Ã÷* 2026-03-17 5/250 2026-03-18 11:49 by ¾¡Ë´Ò¢1
[¿¼ÑÐ] ²ÄÁÏÓ뻯¹¤×¨Ë¶µ÷¼Á +5 heming3743 2026-03-16 5/250 2026-03-17 14:03 by Ó¸ÒÌ«¼àÍõ¹«¹«
[ÂÛÎÄͶ¸å] ÓÐûÓдóÀз¢Ð¡ÂÛÎÄÄÜ´øÎÒ¸ö¶þ×÷ +3 ÔöÈñ©ÈË 2026-03-17 4/200 2026-03-17 09:26 by xs74101122
[¿¼ÑÐ] ¶«ÄÏ´óѧ364Çóµ÷¼Á +5 JasonYuiui 2026-03-15 5/250 2026-03-16 21:28 by ľ¹Ï¸à
[¿¼ÑÐ] 326Çóµ÷¼Á +4 ŵ±´¶û»¯Ñ§½±êéê 2026-03-15 7/350 2026-03-16 17:11 by ŵ±´¶û»¯Ñ§½±êéê
[¿¼ÑÐ] 277²ÄÁÏ¿ÆÑ§Ó빤³Ì080500Çóµ÷¼Á +3 ×ÔÓɼå±ý¹û×Ó 2026-03-16 3/150 2026-03-16 14:10 by ÔËÆøyunqi
[¿¼ÑÐ] 0703 ÎïÀí»¯Ñ§µ÷¼Á +3 ÎÒ¿ÉÒÔÉϰ¶µÄ¶Ô 2026-03-13 5/250 2026-03-16 10:50 by ÎÒ¿ÉÒÔÉϰ¶µÄ¶ÔÂ
[¿¼ÑÐ] 26¿¼ÑÐÒ»Ö¾Ô¸ÖйúʯÓÍ´óѧ(»ª¶«)305·ÖÇóµ÷¼Á +3 ¼ÎÄêÐÂ³Ì 2026-03-15 3/150 2026-03-15 13:58 by ¹þ¹þ¹þ¹þºÙºÙºÙ
[¿¼ÑÐ] 080500£¬²ÄÁÏѧ˶302·ÖÇóµ÷¼ÁѧУ +4 ³õʶ¿ÉÀÖ 2026-03-14 5/250 2026-03-14 21:08 by peike
[¿¼ÑÐ] ±¾¿ÆÄϾ©´óѧһ־Ը´¨´óҩѧ327 +3 ÂóÌï¸ûÕß 2026-03-14 3/150 2026-03-14 20:04 by ÍâÐÇÎÄÃ÷
ÐÅÏ¢Ìáʾ
ÇëÌî´¦ÀíÒâ¼û