| ²é¿´: 434 | »Ø¸´: 0 | ||
ColonelGгæ (ÕýʽдÊÖ)
|
[ÇóÖú]
COMSOL MULTIPHYSICSÇó½â¹ý³ÌÓöµ½´íÎó
|
|
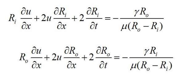
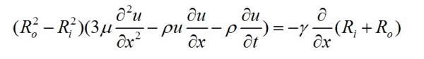
ÏëÓÃCOMSOL MULTIPHYSICSÇó½âÈçͼËùʾµÄ·½³Ì×飬¿ÉÊÇÓöµ½ÈçÏÂÎÊÌ⣺ Syntax error in expression, û¿´Ã÷°×£¬Çë¸ßÊÖ°ïæ·ÖÎöһϣ¬Ð»Ð»~£¡ 1.jpg 2.jpg |
» ±¾Ìû¸½¼þ×ÊÔ´Áбí
-
»¶Ó¼à¶½ºÍ·´À¡£ºÐ¡Ä¾³æ½öÌṩ½»Á÷ƽ̨£¬²»¶Ô¸ÃÄÚÈݸºÔð¡£
±¾ÄÚÈÝÓÉÓû§×ÔÖ÷·¢²¼£¬Èç¹ûÆäÄÚÈÝÉæ¼°µ½ÖªÊ¶²úȨÎÊÌ⣬ÆäÔðÈÎÔÚÓÚÓû§±¾ÈË£¬Èç¶Ô°æÈ¨ÓÐÒìÒ飬ÇëÁªÏµÓÊÏ䣺xiaomuchong@tal.com - ¸½¼þ 1 : CD.mph
2013-12-22 23:52:45, 7.1 K
» ²ÂÄãϲ»¶
²ÄÁÏר˶283Çóµ÷¼Á
ÒѾÓÐ7È˻ظ´
Ò»Ö¾Ô¸±±¾©2£¬²ÄÁÏÓ뻯¹¤308Çóµ÷¼Á
ÒѾÓÐ4È˻ظ´
Çóµ÷¼Á
ÒѾÓÐ5È˻ظ´
Ò»Ö¾Ô¸9²ÄÁÏѧ˶297ÒѹýÁù¼¶Çóµ÷¼ÁÍÆ¼ö
ÒѾÓÐ8È˻ظ´
278Çóµ÷¼Á
ÒѾÓÐ9È˻ظ´
285Çóµ÷¼Á
ÒѾÓÐ5È˻ظ´
Ò»Ö¾Ô¸ÎäÀí²ÄÁϹ¤³Ì302µ÷¼Á»·»¯»ò»¯¹¤
ÒѾÓÐ20È˻ظ´
348Çóµ÷¼Á
ÒѾÓÐ3È˻ظ´
±¾¿Æ211 ·ÖÊý293ÇëÇóµ÷¼Á
ÒѾÓÐ3È˻ظ´
Ò»Ö¾Ô¸ÄÏÅ©090401£¬268£¬Çóµ÷¼Á
ÒѾÓÐ4È˻ظ´
ÕÒµ½Ò»Ð©Ïà¹ØµÄ¾«»ªÌû×Ó£¬Ï£ÍûÓÐÓÃŶ~
¡¾Èí¼þ¡¿COMSOL Multiphysics 4.4
ÒѾÓÐ361È˻ظ´
ËÓÐCOMSOL Multiphysics 4.3bµÄ licenseÎļþ
ÒѾÓÐ11È˻ظ´
¹ØÓÚCOMSOL Multiphysics
ÒѾÓÐ2È˻ظ´
comsol˲̬Çó½â²½³¤É趨
ÒѾÓÐ12È˻ظ´
Çócomsol4.3aµÄ°²×°ËµÃ÷
ÒѾÓÐ6È˻ظ´
comsolÉèÖõÄÇó½âʱ¼ä³¤ÁË£¬Ã»·¨Çó½â
ÒѾÓÐ14È˻ظ´
Introduction To COMSOL Multiphysics--¾Ý˵ÊÇ×îºÃµÄÁã»ù´¡Ñ§Ï°½Ì²Ä£¨Ó¢Îİ棩
ÒѾÓÐ690È˻ظ´
COMSOL Multiphysics΢ÄɹâѧÊýÖµ·ÂÕæ°×ƤÊé
ÒѾÓÐ208È˻ظ´
¡¾½Ì³Ì¡¿COMSOL Multiphysicsºº»¯Êֲᡪ¡ªRFÄ£¿éÓû§Ö¸ÄÏ
ÒѾÓÐ11È˻ظ´
comsolÏÔʾ´íÎóÇóÖú
ÒѾÓÐ3È˻ظ´
COMSOL Multiphysics °¸Àý½á¹û¶¯»Õ¹Ê¾
ÒѾÓÐ144È˻ظ´
¡¾ÇóÖú¡¿comsol 4.0²»Äܵ¼Èë×°ÅäÌåsldasm¸ñʽµÄÎļþÂð£¿
ÒѾÓÐ5È˻ظ´
COMSOL Multiphysics 3.5a»òÒÔÉÏ
ÒѾÓÐ10È˻ظ´
¡¾ÇóÖú¡¿°²×°COMSOL Multiphysics4.0³öÏÖÎÊÌ⡾Òѽâ¾ö¡¿
ÒѾÓÐ4È˻ظ´
¡¾ÇóÖú¡¿Çë½ÌCOmsolÇó½âÎÊÌâ
ÒѾÓÐ10È˻ظ´
¡¾ÇóÖú¡¿comsol multiphysics°²×°Îļþ
ÒѾÓÐ21È˻ظ´
¡¾×ÊÔ´¡¿COMSOL Multiphysics ÓйØÓÚ»¯Ñ§¹¤³ÌºÍÉúÎïҽѧ¹¤³Ì·½ÃæµÄÂÛÎÄ
ÒѾÓÐ22È˻ظ´
¿ÆÑдÓСľ³æ¿ªÊ¼£¬ÈËÈËΪÎÒ£¬ÎÒΪÈËÈË














»Ø¸´´ËÂ¥
µã»÷ÕâÀïËÑË÷¸ü¶àÏà¹Ø×ÊÔ´