版块导航
正在加载中...
客户端APP下载
论文辅导
申博辅导
登录
注册
帖子
帖子
用户
本版
应《网络安全法》要求,自2017年10月1日起,未进行实名认证将不得使用互联网跟帖服务。为保障您的帐号能够正常使用,请尽快对帐号进行手机号验证,感谢您的理解与支持!
24小时热门版块排行榜
>
论坛更新日志
(2788)
>
虫友互识
(587)
>
文献求助
(135)
>
导师招生
(125)
>
休闲灌水
(123)
>
考博
(116)
>
教师之家
(71)
>
找工作
(68)
>
博后之家
(67)
>
硕博家园
(65)
>
论文投稿
(63)
>
论文道贺祈福
(61)
>
基金申请
(57)
>
考研
(50)
>
公派出国
(47)
>
招聘信息布告栏
(30)
小木虫论坛-学术科研互动平台
»
计算模拟区
»
程序语言
»
Fortran
»
求助一个编程
1
1/1
返回列表
查看: 208 | 回复: 0
只看楼主
@他人
存档
新回复提醒
(忽略)
收藏
在APP中查看
qiaoyue
新虫
(初入文坛)
应助: 0
(幼儿园)
金币: 11.5
帖子: 15
在线: 21.7小时
虫号: 1246719
注册: 2011-03-27
专业: 碳素材料与超硬材料
[
求助
]
求助一个编程
求助一个编程
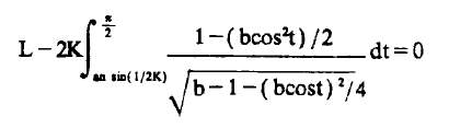
条件见所附图片,其中K和L是已知的,要编一个程序求出最接近的b值
P7_FORA1XX]SJSRO6TGFL%M.jpg
回复此楼
» 猜你喜欢
基金委咋了?2026年的指南还没有出来?
已经有9人回复
拟解决的关键科学问题还要不要写
已经有4人回复
基金申报
已经有5人回复
国自然申请面上模板最新2026版出了吗?
已经有17人回复
纳米粒子粒径的测量
已经有8人回复
疑惑?
已经有5人回复
计算机、0854电子信息(085401-058412)调剂
已经有5人回复
Materials Today Chemistry审稿周期
已经有5人回复
溴的反应液脱色
已经有7人回复
推荐一本书
已经有12人回复
1楼
2013-12-18 16:00:45
已阅
回复此楼
关注TA
给TA发消息
送TA红花
TA的回帖
智能机器人
Robot
(super robot)
我们都爱小木虫
找到一些相关的精华帖子,希望有用哦~
求助:一个传动结构的实现
已经有4人回复
编程有点问题,求助
已经有5人回复
求助fortran编程一个。。仿真模拟非稳态(非)绝热毛细管
已经有12人回复
求助!fortran编程实现从txt中一一对应读入数据
已经有6人回复
求助:用Fortran写一个关于晶粒个数统计和编号的程序。卡了我好久了。
已经有4人回复
matlab编程中遇到的问题
已经有4人回复
最近用matlab采集数据遇到一个问题,求助!
已经有6人回复
c语言求助,一个小程序详细讲解
已经有13人回复
【求助】帮忙求解一个一元四次方程
已经有9人回复
如何编写一个应用程序
已经有6人回复
求助:能不能帮忙写一个用matlab求一个函数的傅里叶变换的程序
已经有16人回复
mathematica 编程求助
已经有9人回复
C++builder编程求助
已经有3人回复
一个从来没有编程经验的人,你们觉得VB作为入门语言怎么样?
已经有23人回复
求助matlab编程
已经有13人回复
【求助】求助 matlab编程:可否实现清除文本文档数据
已经有5人回复
【求助】一个matlab窗口占25%CPU,如何提高?
已经有11人回复
【求助】用matlab编程,需要将数据自检分类(高手进来指点下)
已经有5人回复
【求助】请教一个matlab程序,谢谢帮忙!!
已经有15人回复
【求助】有关“SW0PC_FXGP编程软件”的介绍
已经有1人回复
【求助】求助仿真中需要一个分段函数来控制电流源
已经有5人回复
【求助】请问一下fortran的可视化编程
已经有7人回复
求助一个差分方程的MATLAB实现
已经有3人回复
【求助】SAS编程出了错,看不懂,请教高手
已经有8人回复
【求助】帮我编个程啊~C语言,C++,Matlab,VB...都行~
已经有14人回复
【求助】求助:vb编程中用牛顿迭代解三次方程为什么只得到一个根?【已完成】
已经有15人回复
【求助】求c++编一个简单计算器的源代码
已经有6人回复
点击这里搜索更多相关资源
科研从小木虫开始,人人为我,我为人人
相关版块跳转
第一性原理
量子化学
计算模拟
分子模拟
仿真模拟
程序语言
我要订阅楼主
qiaoyue
的主题更新
1
1/1
返回列表
如果回帖内容含有宣传信息,请如实选中。否则帐号将被全论坛禁言
普通表情
龙
兔
虎
猫
百度网盘
|
360云盘
|
千易网盘
|
华为网盘
在新窗口页面中打开自己喜欢的网盘网站,将文件上传后,然后将下载链接复制到帖子内容中就可以了。
信息提示
关闭
请填处理意见
关闭
确定