| 查看: 804 | 回复: 3 | ||
悲伤的秋天木虫 (正式写手)
|
[求助]
关于电流-电势关系式求助 已有1人参与
|
|
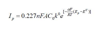
如题:关于电流-电势关系式为什么文献中的公式有常数0.227,在巴德的《电化学方法原理和应用中》却没有这个常数,其他都一样?这个常数是什么意思? WL1OXT@CW9%7`{R(S(CE3JW.jpg |
» 猜你喜欢
调剂信息
已经有0人回复
华南理工0703化学,总分336求调剂
已经有11人回复
物理化学论文润色/翻译怎么收费?
已经有298人回复
河北农大生物与医药专业招收调剂,名额充足
已经有0人回复
齐鲁工业大学 国家重点实验室-新能源、锂离子电池、材料、化学方向
已经有0人回复
一志愿前4位代码0703均可报名-河北大学分析化学专业招收调剂考生
已经有57人回复
★★爆★★0860生物与医药调剂考生看过来,河北大学化学与材料科学学院
已经有85人回复
杰青/长江团队招收调剂
已经有0人回复
中南林业科技大学罗勇锋教授团队2026年招收材料类调剂研究生
已经有0人回复
电子科技大学材料学院王翀教授拟招收工程博士一名(化学、材料方向)
已经有1人回复
湖南农业大学能源材料创新团队招收2026化学专业研究生(学硕)调剂
已经有3人回复
» 本主题相关价值贴推荐,对您同样有帮助:
用Mott-Schottky方程做图法测量平带电势,如何从阻抗图中读取电容值?
已经有5人回复
电化学氧化,电催化氧化,电氧化概念
已经有17人回复
求分析电位窗口曲线
已经有6人回复
请求电化学高手解答“塔菲尔公式的迷惑”
已经有11人回复
Pt在硫酸中的CV曲线,为啥我的曲线头部峰特别尖锐呢?
已经有11人回复
由LSV曲线读取氧还原起峰电位的方法
已经有4人回复
化学势差能够作为传质推动力吗?
已经有14人回复
求助:氧还原反应与循环伏安法
已经有15人回复
超电势和过电位是不是同一概念?
已经有3人回复
【讨论】请问SCE电位会随PH变化吗?
已经有11人回复
【原创】2011中科院物理化学乙回忆版
已经有20人回复
【求助】cv曲线求助~~是否可逆等
已经有11人回复
Jackcd12
至尊木虫 (知名作家)
- ECEPI: 13
- 应助: 2150 (讲师)
- 金币: 13926.4
- 红花: 366
- 帖子: 7633
- 在线: 2165.4小时
- 虫号: 1865159
- 注册: 2012-06-20
- 性别: GG
- 专业: 电化学

2楼2013-12-11 23:04:14
Jackcd12
至尊木虫 (知名作家)
- ECEPI: 13
- 应助: 2150 (讲师)
- 金币: 13926.4
- 红花: 366
- 帖子: 7633
- 在线: 2165.4小时
- 虫号: 1865159
- 注册: 2012-06-20
- 性别: GG
- 专业: 电化学

3楼2013-12-11 23:06:05
悲伤的秋天
木虫 (正式写手)
- 应助: 12 (小学生)
- 金币: 3531.1
- 散金: 854
- 红花: 3
- 帖子: 496
- 在线: 153.9小时
- 虫号: 1623136
- 注册: 2012-02-17
- 专业: 结构化学
4楼2013-12-12 17:34:38














回复此楼