| 查看: 1572 | 回复: 10 | |
Fan_木虫 (正式写手)
|
[求助]
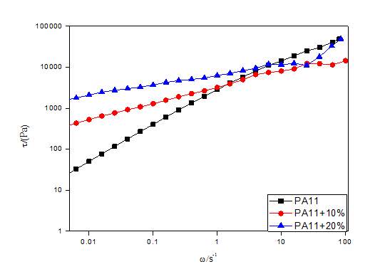
旋转流变稳态测试 已有2人参与
|
![]() |
|
|
|
|
| 回帖支持 ( 显示支持度最高的前 50 名 ) | |
hwweven至尊木虫 (知名作家)
医疗器械注册和审核
|
|
|
2楼2013-12-09 16:24:17
|
|
hwweven至尊木虫 (知名作家)
医疗器械注册和审核
|
|
|
4楼2013-12-09 16:30:22
|
|
| 普通回帖 | |
Fan_木虫 (正式写手)
|
|
![]() |
|
|
3楼2013-12-09 16:28:36
|
|
Fan_木虫 (正式写手)
|
|
![]() |
|
|
5楼2013-12-10 08:13:42
|
|
Fan_木虫 (正式写手)
|
|
![]() |
|
|
6楼2013-12-10 15:19:06
|
|
hwweven至尊木虫 (知名作家)
医疗器械注册和审核
|
|
|
7楼2013-12-10 15:25:30
|
|
Fan_木虫 (正式写手)
|
|
![]() |
|
|
8楼2013-12-10 16:25:49
|
|
|
9楼2013-12-11 16:34:45
|
|
|
10楼2013-12-11 16:39:39
|
|














回复此楼
