| 查看: 919 | 回复: 4 | ||
fairless新虫 (初入文坛)
|
[求助]
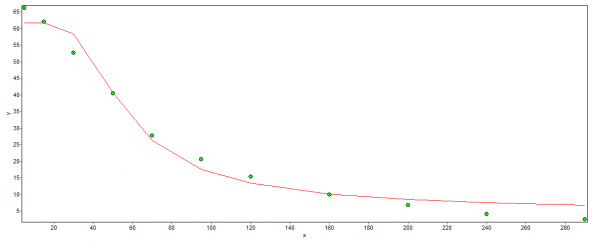
1stopt模拟arrhenius equation偏差较大,如何修正比较准确?
|
|
|
|
||
dingd铁杆木虫 (职业作家)
|
||
|
2楼2013-12-08 13:23:08
|
|
|
fairless新虫 (初入文坛)
|
||
|
3楼2013-12-08 13:48:28
|
|
|
dingd铁杆木虫 (职业作家)
|
【答案】应助回帖
★ ★ ★ ★ ★
fairless: 金币+5, ★★★★★最佳答案 2013-12-08 19:27:46
|
|
|
4楼2013-12-08 19:23:43
|
|
|
fairless新虫 (初入文坛)
|
||
|
5楼2013-12-08 19:27:31
|
|














回复此楼
10