| 查看: 3415 | 回复: 6 | ||
[求助]
对于是否应该考虑自旋(ISPIN=1 or =2)的疑问?多谢指点!
|
|
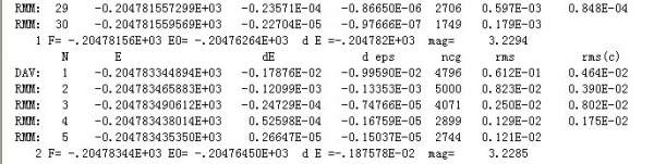
各位虫友好!问题是这样的:对Cu2O(100)面进行表面结构优化,ISPIN=1和=2的总能差距为0.1eV左右(感觉还蛮大的),且ISPIN=2时,输出文件中的mag不为0,详见下面截图。 故请问大伙儿是否在后续的计算中必须考虑自旋,即设置ISPIN=2?多谢指点! 图片.jpg |
» 猜你喜欢
2025冷门绝学什么时候出结果
已经有4人回复
真诚求助:手里的省社科项目结项要求主持人一篇中文核心,有什么渠道能发核心吗
已经有8人回复
寻求一种能扛住强氧化性腐蚀性的容器密封件
已经有5人回复
论文投稿,期刊推荐
已经有6人回复
请问哪里可以有青B申请的本子可以借鉴一下。
已经有4人回复
孩子确诊有中度注意力缺陷
已经有14人回复
请问下大家为什么这个铃木偶联几乎不反应呢
已经有5人回复
请问有评职称,把科研教学业绩算分排序的高校吗
已经有5人回复
天津工业大学郑柳春团队欢迎化学化工、高分子化学或有机合成方向的博士生和硕士生加入
已经有4人回复
康复大学泰山学者周祺惠团队招收博士研究生
已经有6人回复
» 本主题相关价值贴推荐,对您同样有帮助:
vasp自旋极化计算时,初始设置自旋能否不被优化
已经有6人回复
求解,我是应该到一般公司做销售还是找个化学相关的职位,我读的应化专业,多谢指点
已经有6人回复
【求助】关于拟合得到体弹性模量&自旋极化&LDA+U等问题,望大家指点指点
已经有4人回复
【原创】关于结构弛豫设置及收敛判据选择的一点体会
已经有140人回复
【求助】有机正负离子的自旋多重度是多少呢
已经有19人回复
【求助】生成三线态卡宾的过渡态的自旋多重度的设置
已经有3人回复
【求助】关于一个配合物的自旋多重度和P原子的警告
已经有9人回复
【求助】怎样用高斯计算自旋密度
已经有15人回复


2楼2013-12-02 10:42:31

3楼2013-12-04 10:10:59

4楼2013-12-04 15:31:03

5楼2013-12-04 22:31:18
liudan_1111
金虫 (小有名气)
- 应助: 9 (幼儿园)
- 金币: 1779.2
- 红花: 1
- 帖子: 77
- 在线: 175.8小时
- 虫号: 1971022
- 注册: 2012-09-03
- 性别: MM
- 专业: 理论和计算化学

6楼2013-12-05 08:49:31
刘小伟110
木虫 (小有名气)
- 应助: 0 (幼儿园)
- 金币: 1635.7
- 散金: 51
- 帖子: 256
- 在线: 120.5小时
- 虫号: 2096954
- 注册: 2012-10-30
- 专业: 理论和计算化学

7楼2014-03-12 11:02:47













回复此楼

苦逼牛逼