| 查看: 9390 | 回复: 9 | |||
guzhiqing金虫 (正式写手)
|
[求助]
通过反射率和透射率计算吸收系数 已有1人参与
|
|
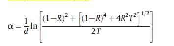
我们用分光光度计测得了薄膜的反射率和透射率,都出现了干涉。想通过反射率和透射率的吸收系数公式计算得到吸收系数。但是由于反射率测试时是8度角(入射光与薄膜法线夹角)测试,透射率是垂直入射。所以反射率的峰顶(峰谷)与透射率的峰谷(峰顶)不在同一波长,进而得到的吸收系数出现了干涉。请问怎么样才能把吸收系数的干涉去掉?谢谢! 计算吸收系数所用公式.jpg |
» 收录本帖的淘帖专辑推荐
材料+新能源+催化+外语 |
» 猜你喜欢
08类有较多调剂名额,欢迎各位考生联系咨询。
已经有0人回复
太原科技大学材料科学与工程学院“03高性能轻质合金及新能源材料”学硕与专硕有缺额
已经有0人回复
有机高分子材料论文润色/翻译怎么收费?
已经有89人回复
太原科技大学材料科学与工程学院“03高性能轻质合金及新能源材料”学硕与专硕有缺额
已经有0人回复
太原科技大学材料科学与工程学院“03高性能轻质合金及新能源材料”学硕与专硕有缺额
已经有0人回复
太原科技大学材料科学与工程学院“03高性能轻质合金及新能源材料”学硕与专硕有缺额
已经有0人回复
太原科技大学材料科学与工程学院“03高性能轻质合金及新能源材料”学硕与专硕有缺额
已经有0人回复
重庆长江师范学院材料工程接收材料类和机械类考生调剂硕士研究生
已经有0人回复
重庆长江师范学院材料工程接收材料类考生调剂硕士研究生
已经有0人回复
考研调剂
已经有0人回复
太原科技大学材料科学与工程学院“03高性能轻质合金及新能源材料”方向有调剂名额
已经有0人回复
» 本主题相关价值贴推荐,对您同样有帮助:
光从水到空气的反射率与光从空气到水的反射率是否相同
已经有12人回复
咨询一个关于光学增透膜的问题,光学的兄弟姐妹们进来
已经有13人回复
红外反射率计算
已经有6人回复
关于石英玻璃透射率反射率和光强的关系。
已经有12人回复
多层透明薄膜光透射率的计算
已经有8人回复
材料的吸收率和吸光度是一个概念吗
已经有8人回复
如何通过Ks值和中性突变率来计算物种的分化时间
已经有3人回复
【comsol 求反射率】
已经有8人回复
粉末 漫反射红外
已经有9人回复
十万火急!!!图三图四是怎么画出来的
已经有4人回复
测透射率和反射率
已经有6人回复
【求助】各种光伏材料的光吸收系数表
已经有8人回复
【求助】吸收系数与透射率的关系
已经有10人回复
【求助】关于采用传播矩阵法计算透射率,反射率以及色散关系
已经有11人回复
【求助】透光率的理论计算路径
已经有11人回复

2楼2013-11-20 05:30:16

3楼2013-11-20 06:00:00
guzhiqing
金虫 (正式写手)
- 应助: 1 (幼儿园)
- 金币: 1245.9
- 红花: 2
- 帖子: 333
- 在线: 107.4小时
- 虫号: 1411416
- 注册: 2011-09-21
- 性别: GG
- 专业: 碳素材料与超硬材料
4楼2013-11-20 10:07:48

5楼2013-11-20 17:47:16
guzhiqing
金虫 (正式写手)
- 应助: 1 (幼儿园)
- 金币: 1245.9
- 红花: 2
- 帖子: 333
- 在线: 107.4小时
- 虫号: 1411416
- 注册: 2011-09-21
- 性别: GG
- 专业: 碳素材料与超硬材料
6楼2013-11-20 23:56:02

7楼2013-11-21 03:09:10
木石缘
木虫 (正式写手)
- 应助: 7 (幼儿园)
- 金币: 4985.9
- 散金: 730
- 红花: 17
- 帖子: 581
- 在线: 423小时
- 虫号: 1338969
- 注册: 2011-07-06
- 性别: MM
- 专业: 污染控制化学
8楼2015-11-21 15:43:48
ttwlx
木虫 (著名写手)
MVP+ACE
- 应助: 1 (幼儿园)
- 金币: 2692.5
- 红花: 4
- 帖子: 1159
- 在线: 245.9小时
- 虫号: 2289274
- 注册: 2013-02-20
- 性别: GG
- 专业: 凝聚态物性 II :电子结构

9楼2017-11-16 09:56:59
10楼2020-08-10 10:43:06














回复此楼
10