| 查看: 499 | 回复: 1 | ||
soul_ling银虫 (小有名气)
|
[求助]
求助:以下的微积分方程式如何解得的
|
|
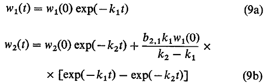
求助!!!本人为非数学专业,看文献遇到这样的微积分方程,真的不知道怎么得来的。 怎样将方程1直接转换成方程2? 当i=1,2时,对方程2积分可以获得方程3中的结果,想知道其积分得具体步骤? (方程1,2,3如图片所示) 方程1 方程2 方程3 |
» 猜你喜欢
303求调剂
已经有6人回复
07化学303求调剂
已经有5人回复
332求调剂
已经有6人回复
考研调剂
已经有7人回复
0856求调剂
已经有5人回复
总分293求调剂
已经有6人回复
275求调剂
已经有5人回复
085600 材料与化工 329分求调剂
已经有7人回复
材料与化工328分调剂
已经有6人回复
291 求调剂
已经有6人回复
» 本主题相关价值贴推荐,对您同样有帮助:
求助微积分计算
已经有9人回复
求助一道电路题
已经有10人回复
四条曲线拟合成一个设定的方程
已经有7人回复
微积分(第三版) 朱来义 高等教育出版社
已经有6人回复
关于matlab微分、及非线性拟合问题
已经有5人回复
今年基础不发小册子了,怎么考啊
已经有23人回复
求助啊,微积分问题
已经有4人回复
询问固定床上反应速率常数以表观活化能的具体操作?
已经有11人回复
【求助】注册化工工程师的报考条件,报考时间以及考试科目都是什么?
已经有26人回复
【求助】哪里有好的《微积分》视频教程?
已经有3人回复
【求助】【微积分高手请进】求解一道积分题
已经有12人回复
【求助/交流】SCI从入门到精通(转载)
已经有80人回复
【求助】20金币求一个微积分方程
已经有15人回复
【求助】大家谈谈对注册环保工程师的了解
已经有15人回复
SCI论文从入门到精通(第一版)
已经有93人回复
【求助】钛酸四丁酯的水解方程式
已经有22人回复
vect
至尊木虫 (著名写手)
- 应助: 171 (高中生)
- 金币: 18942.5
- 散金: 31
- 红花: 19
- 帖子: 2033
- 在线: 938.3小时
- 虫号: 545022
- 注册: 2008-04-13
- 性别: GG
- 专业: 数学
2楼2013-11-13 22:05:50













回复此楼
5