| ²é¿´: 452 | »Ø¸´: 0 | |
Excel888Ìú¸Ëľ³æ (ÕýʽдÊÖ)
|
[ÇóÖú]
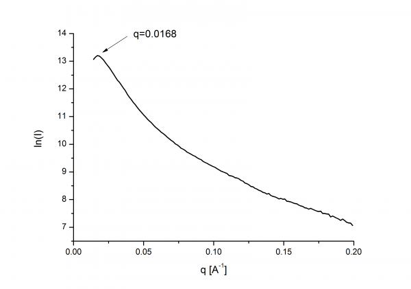
¶®SAXSµÄÇ뿴һϣ¬Õâ¸öËãÊÇÓÐÐò½á¹¹Âð£¿
|
|
|
|
|
ÕÒµ½Ò»Ð©Ïà¹ØµÄ¾«»ªÌû×Ó£¬Ï£ÍûÓÐÓÃŶ~
¿ÆÑдÓСľ³æ¿ªÊ¼£¬ÈËÈËΪÎÒ£¬ÎÒΪÈËÈË
|














»Ø¸´´ËÂ¥
µã»÷ÕâÀïËÑË÷¸ü¶àÏà¹Ø×ÊÔ´