| ²é¿´: 2966 | »Ø¸´: 7 | ||||
·ÉºèÓ¡Ñ©jayÒø³æ (СÓÐÃûÆø)
|
[ÇóÖú]
ÇëÎÊÕâ¸öËãÊÇ·´Ó¦¶¯Á¦Ñ§·½³ÌÂð£¿ÔõôÇóµÃkÖµ£¿
|
|
×Ô¼º½¨µÄÊýѧģÐÍ£¬·´Ó¦ËÙÂÊ·½³ÌËã²»Ëã·´Ó¦¶¯Á¦Ñ§·½³Ì£¿ÔõôÓÃmatlabÇó½â²ÎÊýkÄØ£¿¼ÙÉèŨ¶ÈC¿ÉÒÔÊÔÑé²â¶¨¡£ OE%JHWBEA]D{_`_H1%%8ZI8.jpg |
» ÊÕ¼±¾ÌûµÄÌÔÌûר¼ÍƼö
¶¯Á¦Ñ§ÄâºÏ |
» ²ÂÄãϲ»¶
¹þ¶û±õÀí¹¤´óѧÎïÀíϵÕÐÊÕÎïÀíѧ¿¼Ñе÷¼Á
ÒѾÓÐ6È˻ظ´
0702Ò»Ö¾Ô¸¼ª´óBÇøÇóµ÷¼Á
ÒѾÓÐ5È˻ظ´
ÎïÀíѧIÂÛÎÄÈóÉ«/·ÒëÔõôÊÕ·Ñ?
ÒѾÓÐ190È˻ظ´
Çóµ÷¼Á
ÒѾÓÐ0È˻ظ´
0702Ò»Ö¾Ô¸¼ª´óBÇøÇóµ÷¼ÁÓÐÂÛÎÄ
ÒѾÓÐ0È˻ظ´
ÇëÎÊ»¹ÓÐûÓÐÓÃLatexдÎÄÕµÄС»ï°éÃÇ£¿
ÒѾÓÐ0È˻ظ´
¹âѧ¹¤³Ìѧ˶µ÷¼ÁÐÅÏ¢
ÒѾÓÐ31È˻ظ´
»¶Ó¼ÓÈë¿ÎÌâ×é
ÒѾÓÐ0È˻ظ´
É¢½ð±Ò£¬ÇóºÃÔË£¬×£ÃæÉÏ˳Àû£¡
ÒѾÓÐ68È˻ظ´
»ª¶«Ê¦·¶´óѧоƬÉè¼ÆÐìççÕæÊµË®Æ½Õ¦Ñù
ÒѾÓÐ1È˻ظ´
µ÷¼Á
ÒѾÓÐ0È˻ظ´
» ±¾Ö÷ÌâÏà¹Ø¼ÛÖµÌùÍÆ¼ö£¬¶ÔÄúͬÑùÓаïÖú:
Îü¸½¶¯Á¦Ñ§·½³ÌÄ£ÄâµÄÄ¿µÄÊÇʲô£¿
ÒѾÓÐ17È˻ظ´
SCR·´Ó¦¶¯Á¦Ñ§·½³ÌÇó½âµÄÎÊÌâ
ÒѾÓÐ4È˻ظ´
matlab ÄâºÏ·´Ó¦¶¯Á¦Ñ§²ÎÊý½á¹ûºÜ²î¡£´ó¼Ò°ïæ¿´Ò»ÏÂ
ÒѾÓÐ14È˻ظ´
ÔÚOringinÀïÃæÔõôÄâºÏ״̬·½³ÌEOS
ÒѾÓÐ7È˻ظ´
ΪɶÎÒµÄÒ»¼¶¶¯Á¦Ñ§·½³ÌÄâºÏ³öÀ´µÄÊý¾ÝRÊǸºÊýÄØ£¿
ÒѾÓÐ16È˻ظ´
matlab ÇóÖ¸µã ¶¯Á¦Ñ§·½³ÌÄâºÏ¹ý³ÌÖе¼ÊýµÄ»ñÈ¡
ÒѾÓÐ10È˻ظ´
¹ØÓÚ·´Ó¦¶¯Á¦Ñ§²úÎïŨ¶ÈµÄ²â¶¨
ÒѾÓÐ16È˻ظ´
ÇóÖú£º»¯Ñ§·´Ó¦¶¯Á¦Ñ§Êý¾ÝÄâºÏµÃµ½Arrenius·½³Ì²ÎÊý£¨A£¬belta£¬Ea£©
ÒѾÓÐ4È˻ظ´
ƽÐз´Ó¦ÔÚ΢·Ö·´Ó¦Æ÷Öж¯Á¦Ñ§·½³ÌÔõô²â¶¨£¿
ÒѾÓÐ6È˻ظ´
¹ØÓÚÎü¸½ÖÐÔËÓö¯Á¦Ñ§·½³ÌµÄ֪ʶ£¬Äĸö´óÏÀÄÜÖ¸µãϰ¡Ð»Ð»
ÒѾÓÐ11È˻ظ´
¡¾ÇóÖú¡¿ÄâºÏ¶¯Á¦Ñ§·½³ÌÇóÖú
ÒѾÓÐ13È˻ظ´
¡¾ÇóÖú¡¿¶¯Á¦Ñ§·½³Ì
ÒѾÓÐ3È˻ظ´
¡¾ÇóÖú¡¿¶¯Á¦Ñ§·½³Ì½¨Á¢
ÒѾÓÐ4È˻ظ´
¡¾ÇóÖú¡¿Ê¹ÓÃMatlabÄâºÏ·´Ó¦¶¯Á¦Ñ§·½³ÌÎÊÌâ
ÒѾÓÐ7È˻ظ´
¡¾ÇóÖú¡¿Ê¹ÓÃMatlabÔ¤¹À¶¯Á¦Ñ§·½³ÌÎÊÌâ
ÒѾÓÐ13È˻ظ´
dingd
Ìú¸Ëľ³æ (Ö°Òµ×÷¼Ò)
- ¼ÆËãÇ¿Ìû: 4
- Ó¦Öú: 1641 (½²Ê¦)
- ½ð±Ò: 15037.3
- É¢½ð: 101
- ºì»¨: 234
- Ìû×Ó: 3410
- ÔÚÏß: 1223.7Сʱ
- ³æºÅ: 291104
- ×¢²á: 2006-10-28
¡¾´ð°¸¡¿Ó¦Öú»ØÌû
¸Ðл²ÎÓ룬ӦÖúÖ¸Êý +1
| ΢·Ö·½³ÌÄâºÏÎÊÌ⣬ÓÃ1stOptºÜºÃ½â¾ö£¬ËÑÒ»ÏÂÓкܶàÀý×Ó¡£ |
2Â¥2013-11-07 18:39:26
·ÉºèÓ¡Ñ©jay
Òø³æ (СÓÐÃûÆø)
- Ó¦Öú: 1 (Ó×¶ùÔ°)
- ½ð±Ò: 340.5
- É¢½ð: 60
- Ìû×Ó: 69
- ÔÚÏß: 60.3Сʱ
- ³æºÅ: 2338094
- ×¢²á: 2013-03-11
- ÐÔ±ð: GG
- רҵ: ÉúÎﻯ¹¤ÓëʳƷ»¯¹¤
3Â¥2013-11-09 21:16:29
feixiaolin
ÈÙÓþ°æÖ÷ (ÎÄ̳¾«Ó¢)
-

ר¼Ò¾Ñé: +518 - Ó¦Öú: 942 (²©ºó)
- ¹ó±ö: 1.275
- ½ð±Ò: 3430
- É¢½ð: 58785
- ºì»¨: 532
- ɳ·¢: 11
- Ìû×Ó: 24215
- ÔÚÏß: 2601.8Сʱ
- ³æºÅ: 2139575
- ×¢²á: 2012-11-21
- רҵ: ¹âѧÐÅÏ¢»ñÈ¡Óë´¦Àí
- ¹ÜϽ: Êýѧ
4Â¥2013-11-09 21:47:10
ÔÂÖ»À¶
Ö÷¹ÜÇø³¤ (Ö°Òµ×÷¼Ò)
-

ר¼Ò¾Ñé: +1059 - ¼ÆËãÇ¿Ìû: 8
- Ó¦Öú: 1712 (½²Ê¦)
- ¹ó±ö: 8.888
- ½ð±Ò: 68127.7
- É¢½ð: 1938
- ºì»¨: 443
- ɳ·¢: 4
- Ìû×Ó: 4373
- ÔÚÏß: 3291.4Сʱ
- ³æºÅ: 1122189
- ×¢²á: 2010-10-14
- רҵ: ÓîÖæÑ§
- ¹ÜϽ: ¼ÆËãÄ£ÄâÇø
¡¾´ð°¸¡¿Ó¦Öú»ØÌû
¡ï ¡ï ¡ï ¡ï ¡ï
¸Ðл²ÎÓ룬ӦÖúÖ¸Êý +1
·ÉºèÓ¡Ñ©jay: ½ð±Ò+5, ¡ï¡ï¡ïºÜÓаïÖú 2014-01-08 23:58:45
¸Ðл²ÎÓ룬ӦÖúÖ¸Êý +1
·ÉºèÓ¡Ñ©jay: ½ð±Ò+5, ¡ï¡ï¡ïºÜÓаïÖú 2014-01-08 23:58:45
|
ÒÔÏÂÊÇMATLABÄâºÏº¬2¸ö·½³ÌµÄ³£Î¢·Ö·½³Ì×éµÄʵÀý£º http://muchong.com/bbs/viewthread.php?tid=6425538&authorid=1122189 ÄãµÄÊǰüº¬5¸ö·½³ÌµÄ£¬³ÌÐò¿ÉÀà±È¡£ |

5Â¥2013-11-10 09:46:19
·ÉºèÓ¡Ñ©jay
Òø³æ (СÓÐÃûÆø)
- Ó¦Öú: 1 (Ó×¶ùÔ°)
- ½ð±Ò: 340.5
- É¢½ð: 60
- Ìû×Ó: 69
- ÔÚÏß: 60.3Сʱ
- ³æºÅ: 2338094
- ×¢²á: 2013-03-11
- ÐÔ±ð: GG
- רҵ: ÉúÎﻯ¹¤ÓëʳƷ»¯¹¤
|
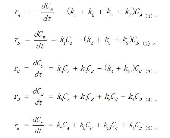
function k1k2k3 format long clear all clc tspan = [0 30 50 80 140 170 200 230 260 290 320 360 400 460 520 580 600]; x0 = [9;0;0;0;0]; k0 = [1 0 0 0 0 0 0 0 0 0]; lb = [0 0 0 0 0 0 0 0 0 0]; ub = [1 1 1 1 1 1 1 1 1 1]; data=[30 7.939 1.458 7.939 1.458 7.939 50 7.687 1.535 7.687 1.535 7.687 80 7.289 1.602 7.289 1.602 7.289 140 6.658 1.717 6.658 1.717 6.658 170 6.531 1.722 6.531 1.722 6.531 200 6.218 1.671 6.218 1.671 6.218 230 5.979 1.620 5.979 1.620 5.979 260 5.591 1.550 5.591 1.550 5.591 290 5.414 1.488 5.414 1.488 5.414 320 4.968 1.433 4.968 1.433 4.968 360 4.692 1.350 4.692 1.350 4.692 400 4.438 1.319 4.438 1.319 4.438 460 4.144 1.294 4.144 1.294 4.144 520 4.041 1.294 4.041 1.294 4.041 580 4.052 1.287 4.052 1.287 4.052 600 4.052 1.287 4.052 1.287 4.052 ]; yexp = data(:,2:6); [k,resnorm,residual,exitflag,output,lambda,jacobian]=... lsqnonlin(@ObjFunc,k0,lb,ub,[],tspan,x0,yexp); ci = nlparci(k,residual,jacobian); fprintf('\n\nʹÓú¯Êýlsqnonlin()¹À¼ÆµÃµ½µÄ²ÎÊýֵΪ:\n') fprintf('\tk1 = %.9f ¡À %.9f\n',k(1),ci(1,2)-k(1)) fprintf('\tk2 = %.9f ¡À %.9f\n',k(2),ci(2,2)-k(2)) fprintf('\tk3 = %.9f ¡À %.9f\n',k(3),ci(3,2)-k(3)) fprintf('\tk3 = %.9f ¡À %.9f\n',k(4),ci(3,2)-k(4)) fprintf('\tk3 = %.9f ¡À %.9f\n',k(5),ci(3,2)-k(5)) fprintf('\tk3 = %.9f ¡À %.9f\n',k(6),ci(3,2)-k(6)) fprintf('\tk3 = %.9f ¡À %.9f\n',k(7),ci(3,2)-k(7)) fprintf('\tk3 = %.9f ¡À %.9f\n',k(8),ci(3,2)-k(8)) fprintf('\tk3 = %.9f ¡À %.9f\n',k(9),ci(3,2)-k(9)) fprintf('\tk3 = %.9f ¡À %.9f\n',k(10),ci(3,2)-k(10)) fprintf(' The sum of the squares is: %.9e\n\n',resnorm) function f = ObjFunc(k,tspan,x0,yexp) % Ä¿±êº¯Êý [t, Xsim] = ode45(@KineticsEqs,tspan,x0,[],k); Xsim1=Xsim(:,1); Xsim2=Xsim(:,2); ysim(:,1) = Xsim1(2:end); ysim(:,2) = Xsim2(2:end); size(ysim(:,1)); size(ysim(:,2)); size(yexp(:,1)); size(yexp(:,2)); f = [(ysim(:,1)-yexp(:,1)) (ysim(:,2)-yexp(:,2))]; function dCdt = KineticsEqs(t,C,k) % ODEÄ£ÐÍ·½³Ì dCAdt = (k(1)+k(5)+k(6)+k(7))*C(1); dCBdt = k(1)*C(1)-(k(2)+k(8)+k(9))*C(2); dCCdt = k(5)*C(1)+k(2)*C(2)-(k(3)+k(10))*C(3); dCDdt = k(6)*C(1)+k(9)*C(2)+k(3)*C(3)-k(4)*C(4); dCEdt = k(7)*C(1)+k(8)*C(2)+k(10)*C(3)+k(4)*C(4); dCdt = [dCAdt; dCBdt;dCCdt;dCDdt;dCEdt]; ´óÉñ°ïæ¸Äһϰ¡ |
6Â¥2013-11-10 21:30:32
278647873
гæ (СÓÐÃûÆø)
- Ó¦Öú: 9 (Ó×¶ùÔ°)
- ½ð±Ò: 56.6
- ºì»¨: 2
- Ìû×Ó: 62
- ÔÚÏß: 21.3Сʱ
- ³æºÅ: 1737473
- ×¢²á: 2012-04-05
- רҵ: »¯Ñ§·´Ó¦¹¤³Ì
7Â¥2013-11-12 11:01:39
zj34331197
ľ³æ (ÕýʽдÊÖ)
ľ³æ
- Ó¦Öú: 60 (³õÖÐÉú)
- ½ð±Ò: 2742.3
- É¢½ð: 129
- ºì»¨: 24
- Ìû×Ó: 610
- ÔÚÏß: 222.1Сʱ
- ³æºÅ: 672954
- ×¢²á: 2008-12-12
- ÐÔ±ð: GG
- רҵ: ¾ÛºÏÎï¹²»ìÓ븴ºÏ²ÄÁÏ

8Â¥2015-06-28 20:01:34













»Ø¸´´ËÂ¥