24小时热门版块排行榜    

查看: 3071  |  回复: 0

huobaozi

新虫 (小有名气)

[求助] 混合型随机变量的期望问题

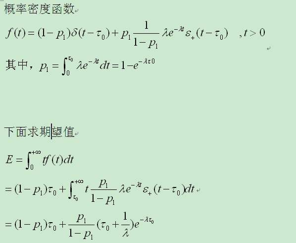
求助达人,对于混合型随机变量,下图中的这种求期望的方法对吗?
我感觉求解的过程没有什么问题,但是总感觉结果跟我想的不太一样。
设随机变量为X,X在TAO0处有离散概率,但在大于TAO0的时候,取值连续。这种变量,直观感觉上来看,期望不应该是必然大于TAO0的吗?为什么当lamda取不同值的时候,会有很多小于TAO0的情况呢?
求指点谢谢。
图中加号前后两项分别乘了冲激函数和阶跃函数(阶跃点左连续)。
混合型随机变量的期望问题
我画了一下,相应的分布函数大概是这样的,在TAO0(图中取的是1000)处,有阶跃。
混合型随机变量的期望问题-1
回复此楼

» 猜你喜欢

已阅   回复此楼   关注TA 给TA发消息 送TA红花 TA的回帖

智能机器人

Robot (super robot)

我们都爱小木虫

找到一些相关的精华帖子,希望有用哦~

科研从小木虫开始,人人为我,我为人人
相关版块跳转 我要订阅楼主 huobaozi 的主题更新
最具人气热帖推荐 [查看全部] 作者 回/看 最后发表
[考研] 一志愿武理材料工程348求调剂 +4  ̄^ ̄゜汗 2026-03-19 6/300 2026-03-22 17:44 by luoyongfeng
[考研] 求调剂院校信息 +6 CX 330 2026-03-21 6/300 2026-03-22 15:25 by 无懈可击111
[考研] 机械专硕299求调剂至材料 +3 kkcoco25 2026-03-16 4/200 2026-03-21 03:52 by JourneyLucky
[考研] 265求调剂 +3 Jack?k?y 2026-03-17 3/150 2026-03-21 03:17 by JourneyLucky
[考研] 材料工程(专)一志愿985 初试335求调剂 +3 hiloiy 2026-03-17 4/200 2026-03-21 03:04 by JourneyLucky
[考研] 一志愿华南师大 070300(化学)304分求调剂 +3 0703武芊慧雪304 2026-03-18 3/150 2026-03-21 00:48 by JourneyLucky
[考研] 295求调剂 +4 一志愿京区211 2026-03-18 6/300 2026-03-20 23:41 by JourneyLucky
[考研] 321求调剂 +9 何润采123 2026-03-18 11/550 2026-03-20 23:19 by JourneyLucky
[考研] 一志愿 西北大学 ,070300化学学硕,总分287,双非一本,求调剂。 +4 晨昏线与星海 2026-03-19 4/200 2026-03-20 22:15 by JourneyLucky
[考研] 295复试调剂 +8 简木ChuFront 2026-03-19 8/400 2026-03-20 20:44 by zhukairuo
[考研] 一志愿 南京航空航天大学大学 ,080500材料科学与工程学硕 +5 @taotao 2026-03-20 5/250 2026-03-20 20:16 by JourneyLucky
[考研] 353求调剂 +3 拉钩不许变 2026-03-20 3/150 2026-03-20 19:56 by JourneyLucky
[考研] 广西大学家禽遗传育种课题组2026年硕士招生(接收计算机专业调剂) +3 123阿标 2026-03-17 3/150 2026-03-20 15:58 by 飞行琦
[考研] 一志愿中国海洋大学,生物学,301分,求调剂 +5 1孙悟空 2026-03-17 6/300 2026-03-19 23:46 by zcl123
[考研] 286求调剂 +6 lemonzzn 2026-03-16 10/500 2026-03-19 14:31 by lemonzzn
[考研] 材料工程专硕调剂 +5 204818@lcx 2026-03-17 6/300 2026-03-18 22:55 by 204818@lcx
[考研] 344求调剂 +6 knight344 2026-03-16 7/350 2026-03-18 20:13 by walc
[考研] 【同济软件】软件(085405)考研求调剂 +3 2026eternal 2026-03-18 3/150 2026-03-18 19:09 by 搏击518
[考研] 收复试调剂生 +4 雨后秋荷 2026-03-18 4/200 2026-03-18 14:16 by elevennnne
[考研] 0703化学调剂 +3 妮妮ninicgb 2026-03-17 3/150 2026-03-18 10:29 by macy2011
信息提示
请填处理意见