| 查看: 2814 | 回复: 15 | |||
[求助]
GIS做插值出现的问题
|
|||
|
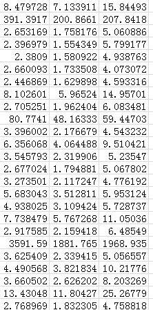
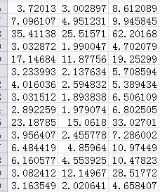
做插值的时候,不管用克里格或者其他的插值方法,总是会提示不同的问题,但是结果是相同的,就是做不出来。具体如图。或者会提示unable to estimate semivariogram,要不就是cannot creat XX。 (ND`)KJY[@Z[$D3LL5J9HWK.jpg M)7Y($EY1F(Q97TEO_YV}E3.jpg |
» 收录本帖的淘帖专辑推荐
我的收集 |
» 猜你喜欢
求助:有没有大神有流体包裹体计算软件
已经有0人回复
定了定了,明天出结果!2025 国自然基金结果即将揭晓,查询攻略看这里
已经有107人回复
地球物理学和空间物理学论文润色/翻译怎么收费?
已经有169人回复
2025国家自然科学基金放榜时间,根据官方回应,8月15日基本没戏了
已经有5人回复
各位未来院士帮忙看看评审意见
已经有9人回复
《风吹过日常的缝隙》
已经有0人回复
282求调剂
已经有0人回复
诚邀
已经有0人回复
考研求调剂
已经有1人回复
考研求调剂
已经有0人回复
» 本主题相关价值贴推荐,对您同样有帮助:
arcgis应用问题求助!
已经有11人回复
GIS中克里格插值
已经有8人回复
外行人问个关于插值的问题,GIS有这个功能吗
已经有4人回复
matlab插值法的一个问题
已经有6人回复
求教GIS Erdas和Envi三者安装兼容问题?
已经有17人回复
关于克里金插值问题
已经有9人回复
关于GIS的差值问题,克里金差值和坡度模拟,请学长们帮忙支支招!
已经有8人回复
关于arcgis地统计模块及插值问题
已经有5人回复
最近在学有限元法,对构造插值函数有个问题,在此请教。
已经有7人回复
【求助】arcgis 10的arcgis管理器中localhost老出错
已经有7人回复
【求助】重金求助浙江湖州底图,用于surfer软件.
已经有9人回复
【求助】mapgis校正-影像配准问题?搜索无重复
已经有3人回复
【求助】arcgis安装求助
已经有10人回复

【答案】应助回帖
★ ★ ★ ★ ★ ★ ★ ★ ★ ★ ★ ★ ★ ★ ★
感谢参与,应助指数 +1
忽忽apple: 金币+15, ★★★★★最佳答案 2013-10-02 16:58:51
感谢参与,应助指数 +1
忽忽apple: 金币+15, ★★★★★最佳答案 2013-10-02 16:58:51
| LZ用的是arcgis 9.3么?如果是的话,打上这个补丁可以解决too many unique values的问题 |
» 本帖附件资源列表
-
欢迎监督和反馈:小木虫仅提供交流平台,不对该内容负责。
本内容由用户自主发布,如果其内容涉及到知识产权问题,其责任在于用户本人,如对版权有异议,请联系邮箱:xiaomuchong@tal.com - 附件 1 : ArcGIS-93-Raster-Patch.rar
2013-09-30 20:38:48, 824.77 K
14楼2013-09-30 20:39:25
yesqincheng
金虫 (正式写手)
- 应助: 18 (小学生)
- 金币: 2724.3
- 散金: 169
- 红花: 10
- 帖子: 705
- 在线: 154.1小时
- 虫号: 1770166
- 注册: 2012-04-21
- 性别: GG
- 专业: 地理信息系统

2楼2013-09-29 20:14:42

3楼2013-09-29 20:46:26
zhangok
木虫 (著名写手)
- EPI: 3
- 应助: 155 (高中生)
- 金币: 2797.5
- 红花: 22
- 帖子: 1292
- 在线: 171.7小时
- 虫号: 366568
- 注册: 2007-05-09
- 性别: GG
- 专业: 区域可持续发展
4楼2013-09-29 21:05:13
zhangok
木虫 (著名写手)
- EPI: 3
- 应助: 155 (高中生)
- 金币: 2797.5
- 红花: 22
- 帖子: 1292
- 在线: 171.7小时
- 虫号: 366568
- 注册: 2007-05-09
- 性别: GG
- 专业: 区域可持续发展
5楼2013-09-29 21:06:41

6楼2013-09-29 21:24:46

7楼2013-09-29 21:28:21

8楼2013-09-29 21:29:01
zhangok
木虫 (著名写手)
- EPI: 3
- 应助: 155 (高中生)
- 金币: 2797.5
- 红花: 22
- 帖子: 1292
- 在线: 171.7小时
- 虫号: 366568
- 注册: 2007-05-09
- 性别: GG
- 专业: 区域可持续发展
9楼2013-09-29 21:31:51

10楼2013-09-29 21:39:50














回复此楼