版块导航
正在加载中...
客户端APP下载
论文辅导
调剂小程序
登录
注册
帖子
帖子
用户
本版
应《网络安全法》要求,自2017年10月1日起,未进行实名认证将不得使用互联网跟帖服务。为保障您的帐号能够正常使用,请尽快对帐号进行手机号验证,感谢您的理解与支持!
24小时热门版块排行榜
>
论坛更新日志
(3245)
>
导师招生
(347)
>
虫友互识
(279)
>
文献求助
(250)
>
休闲灌水
(144)
>
考研
(136)
>
硕博家园
(99)
>
论文投稿
(65)
>
考博
(60)
>
基金申请
(49)
>
博后之家
(45)
>
招聘信息布告栏
(41)
>
教师之家
(35)
>
无机非金属
(30)
>
SciFinder/Reaxys
(28)
>
公派出国
(28)
小木虫论坛-学术科研互动平台
»
化学化工区
»
分析
»
数据分析
»
origin作图 y的平均值对x做图
1
1/1
返回列表
查看: 2430 | 回复: 0
只看楼主
@他人
存档
新回复提醒
(忽略)
收藏
在APP中查看
马甲民
金虫
(小有名气)
应助: 0
(幼儿园)
金币: 1083.5
帖子: 52
在线: 17.5小时
虫号: 1057034
注册: 2010-07-13
[
求助
]
origin作图 y的平均值对x做图
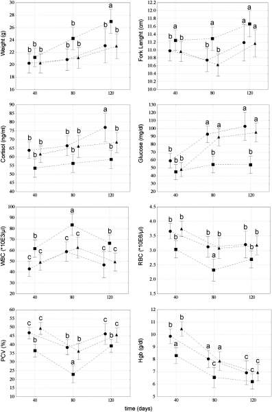
我想做一个图,利用多个y值的平均值,以及一个x值,做折线图,其中要体现y的变化范围,如下图,请问怎么做啊?
Effect of acoustic environment on gilthead sea bream (Sparus aurata)_ Sea and onshore aquaculture background noise.jpg
回复此楼
» 猜你喜欢
什么是人一生最重要的?
已经有7人回复
版面费该交吗
已经有17人回复
体制内长辈说体制内绝大部分一辈子在底层,如同你们一样大部分普通教师忙且收入低
已经有19人回复
【博士招生】太原理工大学2026化工博士
已经有8人回复
280求调剂
已经有4人回复
面上可以超过30页吧?
已经有12人回复
为什么中国大学工科教授们水了那么多所谓的顶会顶刊,但还是做不出宇树机器人?
已经有11人回复
网上报道青年教师午睡中猝死、熬夜猝死的越来越多,主要哪些原因引起的?
已经有9人回复
1楼
2013-09-23 16:35:46
已阅
回复此楼
关注TA
给TA发消息
送TA红花
TA的回帖
智能机器人
Robot
(super robot)
我们都爱小木虫
找到一些相关的精华帖子,希望有用哦~
origin75 关于坐标值 百分数设定
已经有5人回复
Origin作图求助
已经有17人回复
【教程】利用Origin画带误差棒的图
已经有385人回复
。。。求助大牛关于originpro横坐标不均匀输入坐标值的方法。。。。。
已经有3人回复
数据用origin作图后输入tif格式投稿疑问
已经有9人回复
在origin中如何得到两条X坐标不同的曲线叠加后的结果?
已经有10人回复
Origin作图请教
已经有3人回复
交流阻抗的文本数据怎么用origin作图
已经有11人回复
origin作图:如何把三个变量做在一张图中
已经有22人回复
求助!急。。。急。。origin作图后上下各出现一条线
已经有14人回复
求教一个origin中的问题,求大神指点
已经有4人回复
Origin作图问题 折线 柱状图
已经有5人回复
请问TXT交流阻抗数据导出之后怎么在origin作图?
已经有6人回复
只有一列的数据,怎么用origin作图?
已经有4人回复
在一个图中做多个带标准差图大家怎么做?
已经有8人回复
Origin作图中横坐标显示X值
已经有7人回复
Origin作图怎么会有蓝色的底纹?
已经有18人回复
【求助】红外谱图及origin作图求助
已经有5人回复
求助!Origin 作图 图例完全一样,做出来视觉效果完全不同
已经有18人回复
多组数据如何作图???
已经有2人回复
【求助】origin7.5作图的问题
已经有5人回复
急救origin 7.5函数作图
已经有15人回复
点击这里搜索更多相关资源
科研从小木虫开始,人人为我,我为人人
相关版块跳转
有机交流
有机资源
高分子
无机/物化
分析
催化
工艺技术
化工设备
石油化工
精细化工
电化学
环境
SciFinder/Reaxys
我要订阅楼主
马甲民
的主题更新
1
1/1
返回列表
如果回帖内容含有宣传信息,请如实选中。否则帐号将被全论坛禁言
普通表情
龙
兔
虎
猫
百度网盘
|
360云盘
|
千易网盘
|
华为网盘
在新窗口页面中打开自己喜欢的网盘网站,将文件上传后,然后将下载链接复制到帖子内容中就可以了。
信息提示
关闭
请填处理意见
关闭
确定