24小时热门版块排行榜    

北京石油化工学院2026年研究生招生接收调剂公告
查看: 487  |  回复: 0

yilley

金虫 (正式写手)

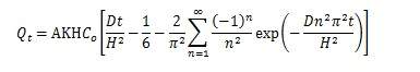
[求助] 请问菲克第二定律用什么软件可以拟合啊

就是下面这个方程式,有人会拟合吗?多谢了
请问菲克第二定律用什么软件可以拟合啊
L[`}8K1`}@{{~TDNIV)~JNL.jpg
回复此楼
What doesn't kill you simply makes you stronger!
已阅   回复此楼   关注TA 给TA发消息 送TA红花 TA的回帖

智能机器人

Robot (super robot)

我们都爱小木虫

找到一些相关的精华帖子,希望有用哦~

科研从小木虫开始,人人为我,我为人人
相关版块跳转 我要订阅楼主 yilley 的主题更新
最具人气热帖推荐 [查看全部] 作者 回/看 最后发表
[考研] 数一英一271专硕(085401)求调剂,可跨 +7 前行必有光 2026-03-28 8/400 2026-03-28 23:22 by 小木虫tim
[考研] 315求调剂 +4 akie... 2026-03-28 5/250 2026-03-28 21:05 by zhq0425
[考研] 283求调剂 +3 A child 2026-03-28 3/150 2026-03-28 15:41 by ms629
[考研] 一志愿中南大学化学0703总分337求调剂 +5 niko- 2026-03-27 5/250 2026-03-28 14:25 by 唐沐儿
[考研] 材料277求调剂 +7 min3 2026-03-24 7/350 2026-03-28 11:39 by xuxiang
[考研] 0703化学/290求调剂/本科经历丰富/工科也可 +9 丹青奶盖 2026-03-26 10/500 2026-03-28 07:45 by barnett0632
[考研] 328求调剂 +7 嗯滴的基本都 2026-03-27 7/350 2026-03-28 04:19 by fmesaito
[考研] 复试调剂,一志愿南农083200食品科学与工程 +5 XQTJZ 2026-03-26 5/250 2026-03-27 14:49 by 狂炫麦当当
[考研] 348求调剂 +4 小懒虫不懒了 2026-03-27 5/250 2026-03-27 12:47 by 果果妈咪
[考研] 324求调剂 +5 hanamiko 2026-03-26 5/250 2026-03-27 10:33 by wangjy2002
[硕博家园] 北京林业大学硕导招生广告 +6 kongweilin 2026-03-26 8/400 2026-03-27 10:18 by FF_16
[考研] 材料调剂 +8 匹克i 2026-03-23 8/400 2026-03-27 08:11 by hypershenger
[考研] 化学工程085602 305分求调剂 +17 RichLi_ 2026-03-25 17/850 2026-03-26 19:44 by plmuchong
[考研] 334分 一志愿武理-080500 材料求调剂 +4 李李不服输 2026-03-25 4/200 2026-03-25 21:26 by 星空星月
[考研] 材料与化工304求B区调剂 +3 邱gl 2026-03-25 3/150 2026-03-25 19:03 by Ainin_
[考研] 一志愿北化315 求调剂 +3 akrrain 2026-03-24 3/150 2026-03-24 19:35 by 了了了了。。
[考研] 080500求调剂 +3 zzzzfan 2026-03-24 3/150 2026-03-24 16:38 by barlinike
[考研] 344求调剂 +3 desto 2026-03-24 3/150 2026-03-24 10:09 by 搏击518
[考研] 284求调剂 +3 yanzhixue111 2026-03-23 6/300 2026-03-23 22:58 by pswait
[考研] 一志愿重庆大学085700资源与环境,总分308求调剂 +7 墨墨漠 2026-03-23 8/400 2026-03-23 20:36 by Creta
信息提示
请填处理意见