| 查看: 1731 | 回复: 4 | |||
孙1986金虫 (正式写手)
|
[求助]
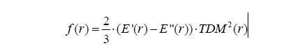
求助,振荡强度计算公式里能量的单位是什么 hatree,还是电子伏?
|
||
![]() |
|||
|
|
|||
beefly专家顾问 (职业作家)
地沟油冶炼专家
|
|||
![]() |
|||
|
2楼2013-09-04 00:19:46
|
|
||
孙1986金虫 (正式写手)
|
|||
![]() |
|||
|
3楼2013-09-04 08:49:42
|
|
||
beefly专家顾问 (职业作家)
地沟油冶炼专家
|
|||
![]() |
|||
|
4楼2013-09-04 09:25:37
|
|
||
孙1986金虫 (正式写手)
|
送红花一朵
|
||
![]() |
|||
|
5楼2013-09-04 09:47:38
|
|














回复此楼

孙1986
谢谢!!!